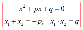
Приведенное квадратное уравнение имеет вид

т.е. коэффициент a=0.
Если x1 и x2 - корни приведенного квадратного уравнения, то

Теорема, обратная теореме Виета
Если p, q, x1, x2 таковы, что

то x1, x2 - корни уравнения 

Математика->Уравнения->уравнения с модулем->