Квадратным уравнением называется уравнение вида

a, b и c - числа, х - переменная
Для нахождения корней квадратного уравнения необходимо найти дискриминант по формуле

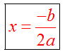
1) Если D>0, то уравнение имеет два корня, которые находятся по формулам

2) Если D=0, то уравнение имеет один корень, который находится по формуле

3) Если D<0, то уравнение не имеет корней.
