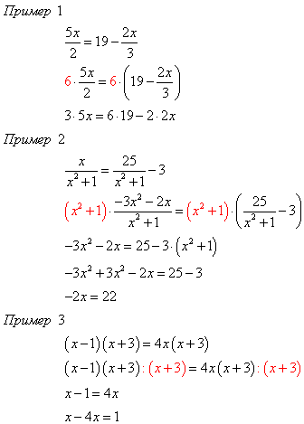
1)Любое слагаемое можно перенести из одной части уравнения в другую с противоположным знаком.

2) К обеим частям уравнения можно прибавить или отнять одно и то же число (или функцию).

3) Можно умножить или разделить обе части уравнения на одно и то же число, кроме нуля, или функцию.

Функция, которую прибавляем (отнимаем) или на которую умножаем (делим) обе части уравнения должна иметь смысл при всех допустимых значениях переменного.
Математика->Уравнения->линейные уравнения->