Обозначение 
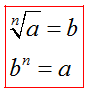
Корнем n-й степени из числа а называется такое число b, n-я степень которого равна а, то есть

Если n - нечетное число, то существует единственный корень n-й степени из любого числа (положительного или отрицательного). Например, 
Если n - четное число, то существует два корня n-й степени из любого положительного числа. Например, корень четвертой степени из числа 625 - это числа -5 и 5. Так как 
Корень четной степени из отрицательного числа не существует. Например, 