1) Любое число, кроме нуля, в нулевой степени равно единице

2) Отрицательную степень можно преобразовать в положительную
Например, 
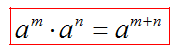
3) При умножении степеней с одинаковыми основаниями показатели складываются, а основание остается прежним

4) При делении степеней с одинаковыми основаниями показатели степеней вычитаются, а основание остается прежним

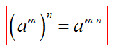
5) При возведении степени в степень показатели степеней перемножаются, а основание остается прежним

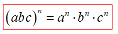
6) Степень произведения равна произведению степеней множителей

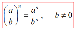
7) Степень частного равна частному степеней делимого и делителя
