Результат умножения двух или более чисел называется произведением, а сами числа - множителями.
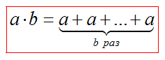
Умножить число а на b - значит найти сумму b слагаемых, каждое из которых равно a.

Например, 
Произведение двух чисел одного знака есть число положительное. Например, 
Произведение двух чисел с разными знаками есть число отрицательное. Например, 
От перестановки множителей значение произведения не изменяется ab=ba.
Математика->Числа. Действия с числами->деление, признаки делимости->