русс | укр

Языки программирования

ПаскальСиАссемблерJavaMatlabPhpHtmlJavaScriptCSSC#DelphiТурбо Пролог

Компьютерные сетиСистемное программное обеспечениеИнформационные технологииПрограммирование

Все о программировании


Linux Unix Алгоритмические языки Аналоговые и гибридные вычислительные устройства Архитектура микроконтроллеров Введение в разработку распределенных информационных систем Введение в численные методы Дискретная математика Информационное обслуживание пользователей Информация и моделирование в управлении производством Компьютерная графика Математическое и компьютерное моделирование Моделирование Нейрокомпьютеры Проектирование программ диагностики компьютерных систем и сетей Проектирование системных программ Системы счисления Теория статистики Теория оптимизации Уроки AutoCAD 3D Уроки базы данных Access Уроки Orcad Цифровые автоматы Шпаргалки по компьютеру Шпаргалки по программированию Экспертные системы Элементы теории информации

While(уайл) шарты бойынша цикл.


Дата добавления: 2015-06-12; просмотров: 1265; Нарушение авторских прав


Форматы: while өрнек do оператор

Мысал 1 .Белгілі бір шарт арқылы берілген қадаммен функция мәнін есептеу керек

Алгоритмін сөз түріндегі әдіспен жазамыз.

1. Деректерді енгізу.

2. Аргументтің бірінші мәнін бер.

3. Оның қандай интервалға жататынын анықта.

4. Сәйкес формуламен функция мәнін есепте.

5. Кесте жолын шығар.

6. Келесі аргумент мәніне көш.

7. Егер ол соңғы мәннен үлкен болмаса, 3–6 қадамдарын қайтала, әйтпесе аяқта.

3–6 қадамдары бірнеше рет орындалады, сондықтан оны цикл арқылы орындаймыз. Қажет айнымалылар үшін белгілеулер енгіземіз: аргументтің бастапқы мәні — Xn, соңғы мәні — Xk, аргументтің өзгеру қадамы — dX, параметр — t. Барлығы нақты. Программасы:

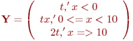
program tabl_fun;var Xn, Xk: real; { аргументтің алғашқы және соңғы мәні } dX: real; { қадам } x, y: real; { аргумент пен функцияның кезекті мәні} t : real; { параметр }begin writeln('Енгізу Xn, Xk, dX, t'); {мәндерді енгізуді шақыру } readln(Xn, Xk, dX, t); { деректерді енгізу – 1 қадам } writeln(' --------------------------- '); { кесте аты } writeln('| X | Y |'); writeln(' --------------------------- '); x := Xn; { бірінші мәні Xn – 2 қадам } while x <= Xk do begin {цикл тақырыбы – 7 қадам } if x < 0 then y := t; {функция мәнін есептеу - 4 қадам } if (x >= 0) and (x < 10) then y := t * x; { 4 қадам } if x >= 10 then y := 2 * t; { 4 қадам } writeln('|', x:9:2,' |', y:9:2,' |');{кесте мәнін шығару – 5 қадам } x := x + dX; { келесі мәнге көшу - 6 қадам } end; writeln(' --------------------------- ');end.

 



 

Функцияның кестелік мәні (while операторы)

 

Бұл циклдің параметрі орындалуын басқаратын айнымалы, яғни х. Циклдің дұрыс жұмыс істеуі үшін параметрдің бастапқы мәнін циклге кірмей тұрып беру керек (2 қадам). Келесі қадамдарда аргументке қадам мәндері қосылып орындалып отырады.

Цикл repeat(репит) соңынан қойылатын шарт

Цикла негізі қызметші сөздер repeat және until арасына орналасады.

Форматы:repeat цикл денесіuntil өрнек

Бұның while циклынан айырмасы, until сөзінен кейінгі логикалық мәні өтірік болғанш орындала береді.

Мысал 2. Нақты мән х аргументі бойыншаepsдәлдігімен түбірді табу программасын құұ. Берілген формула:

мұндағы y(n–1) — түбірдің алғашқы жуықтауы (басында кез келген мән алынады), y(n) — келесі жуықтаулар. Есептеу процессі берілген eps — дәлдікке дейін есептелінеді.

program square_root;var X, eps, { аргумент және дәлдік} Yp, Y: real; { алғашқы және келесі жуықтаулар}begin repeat writeln('Аргументті және дәлдікті енгіз (нөльден үлкен): '); readln(X, eps); until (X > 0) and (eps > 0); Y := 1; repeat Yp:= Y; Y:= (Yp + X / Yp) / 2; until abs(Y - Yp) < eps; writeln('Түбір ', X:6:3, 'дәлдікпен ', eps:7:5, 'тең ', Y:9:5);end.

 



<== предыдущая лекция | следующая лекция ==>
Панель «Градации» | For параметрі бойынша цикл


Карта сайта Карта сайта укр


Уроки php mysql Программирование

Онлайн система счисления Калькулятор онлайн обычный Инженерный калькулятор онлайн Замена русских букв на английские для вебмастеров Замена русских букв на английские

Аппаратное и программное обеспечение Графика и компьютерная сфера Интегрированная геоинформационная система Интернет Компьютер Комплектующие компьютера Лекции Методы и средства измерений неэлектрических величин Обслуживание компьютерных и периферийных устройств Операционные системы Параллельное программирование Проектирование электронных средств Периферийные устройства Полезные ресурсы для программистов Программы для программистов Статьи для программистов Cтруктура и организация данных


 


Не нашли то, что искали? Google вам в помощь!

 
 

© life-prog.ru При использовании материалов прямая ссылка на сайт обязательна.

Генерация страницы за: 0.388 сек.