русс | укр

Языки программирования

ПаскальСиАссемблерJavaMatlabPhpHtmlJavaScriptCSSC#DelphiТурбо Пролог

Компьютерные сетиСистемное программное обеспечениеИнформационные технологииПрограммирование

Все о программировании


Linux Unix Алгоритмические языки Аналоговые и гибридные вычислительные устройства Архитектура микроконтроллеров Введение в разработку распределенных информационных систем Введение в численные методы Дискретная математика Информационное обслуживание пользователей Информация и моделирование в управлении производством Компьютерная графика Математическое и компьютерное моделирование Моделирование Нейрокомпьютеры Проектирование программ диагностики компьютерных систем и сетей Проектирование системных программ Системы счисления Теория статистики Теория оптимизации Уроки AutoCAD 3D Уроки базы данных Access Уроки Orcad Цифровые автоматы Шпаргалки по компьютеру Шпаргалки по программированию Экспертные системы Элементы теории информации

Связь между двойными и повторными интегралами


Дата добавления: 2015-06-12; просмотров: 4247; Нарушение авторских прав


Пусть f (x,y) является непрерывной функцией в области R типа I:

Тогда двойной интеграл от функции f (x,y) в данной области выражается через повторный интеграл в виде

Для области интегрирования типа II существует аналогичная формула. Если f (x,y) является непрерывной функцией в области R типа II:

то справедливо соотношение

Приведенные формулы (в англоязычной литературе они известны как теорема Фубини) позволяют вычислять двойные

интегралы через повторные. В повторных интегралах сначала находится внутренний интеграл, а затем - внешний.

Пример 1
 
Найти повторный интеграл . Решение. Сначала вычислим внутренний интеграл и затем внешний.    
Пример 2
 
Найти повторный интеграл . Решение. Здесь область интегрирования относится к типу II (является элементарной относительно оси Ox). Вычисляя сначала внутренний интеграл по x, и затем внешний по y, получаем
Пример 3
 
Вычислить . Решение. Запишем повторный интеграл в виде Чтобы найти внутренний интеграл в квадратных скобках, сделаем замену: Если , то , и, соответственно, если , то . Тогда
Пример 4
 
Вычислить . Решение. Вычисляя внутренний интеграл, получаем Далее используем интегрирование по частям: . Пусть . Тогда Подставляя это, получаем Наконец вычислим последний интеграл: Окончательный ответ:  
Пример 5
 
Изменить порядок интегрирования в повторном интеграле . Решение. Область интегрирования относится к типу I (рисунок 3). Она представляет собой треугольник, ограниченный прямыми или и или . Переменная x изменяется в интервале . Изменяя порядок интегрирования, исходный интеграл можно записать в виде суммы следующих двух повторных интегралов:
   
Рис.3    

 



Двойные интегралы в прямоугольной области
 
Пусть область интегрирования R представляет собой прямоугольник . Тогда двойной интеграл в такой области выражается через повторный интеграл в следующем виде: В данном случае область интегрирования R относится одновременно к типу I и II, так что у нас есть возможность выбирать, по какой переменной (x или y) начинать интегрировать функцию f (x,y). Обычно удобнее начинать с более простого интеграла. В частном случае, когда подынтегральная функция f (x,y) "расщепляется" на произведение f (x)g(y), двойной интеграл равен произведению двух определенных интегралов:
Пример 1
 
Вычислить двойной интеграл в области . Решение. Как видно, подынтегральная функция f (x,y) представляет собой произведение f (x)g(y). Следовательно, интеграл равен
Пример 2
 
Вычислить двойной интеграл , заданный в области . Решение. Поскольку функция f (x,y) представляет собой произведение f (x)g(y), интеграл равен
Пример 3
 
Вычислить интеграл , заданный в области . Решение. Выражая двойной интеграл через повторный (в котором внутренний интеграл зависит от x), получаем
Пример 4
 
Вычислить интеграл в области . Решение. В данном случае также удобно сначала проинтегрировать по x и затем по y.
Пример 5
 
Вычислить интеграл , заданный в области . Решение. Выразим двойной интеграл через повторный. Сначала проинтегрируем по x, затем по y. Мы можем поменять порядок интегрирования. Результат, разумеется, не изменится.

 

 

Двойные интегралы в произвольной области
 
Пусть область интегрирования R типа I (элементарная относительно оси Oy) ограничена графиками функций . При этом выполняются неравенства и для всех . Тогда двойной интеграл по области R выражается через повторный по формуле Аналогичное соотношение существует и для области типа II. Пусть область интегрирования R типа II (элементарная относительно оси Ox) ограничена графиками функций при условии, что и для всех . Тогда двойной интеграл, заданный в области R, выражается через повторный интеграл по формуле При решении задач иногда полезно разбить исходную область интегрирования R на две или более областей и вычислять двойной интеграл в каждой области отдельно.
Пример 1
 
Вычислить интеграл . Область интегрирования R ограничена графиками функций . Решение. Область интегрирования R задана множеством и относится к типу I (рисунок 1). Выразим двойной интеграл через повторный: Вычислим сначала внутренний интеграл. Теперь найдем внешний интеграл.
 
Рис.1   Рис.2
Пример 2
 
Вычислить интеграл . Область интегрирования R ограничена прямыми . Решение. Область R представляется в виде множества (рисунок 2) и является областью I типа (элементарной относительно оси Oy). Преобразуя двойной интеграл в повторный, получаем:
Пример 3
 
Вычислить интеграл , в котором область интегрирования R ограничена графиками функций . Решение. Область R показана ниже на рисунке 3. Кривая и линейная функция пересекаются в точке (1,1). Следовательно, двойной интеграл равен
 
Рис.3   Рис.4
Пример 4
 
Найти интеграл , где область R представляет собой сегмент окружности. Границы сегмента заданы уравнениями . Решение. Окружность имеет радиус 2 и центр в начале координат. Область интегрирования показана на рисунке 4. Поскольку верхняя полуокружность описывается уравнением , то двойной интеграл вычисляется следующим образом:
Пример 5
 
Найти интеграл , заданный в области R, ограниченной прямыми . Решение. Область интегрирования R показана ниже на рисунке 5. Рассматривая ее как область типа II (элементарную относительно оси Ox, двойной интеграл можно преобразовать в повторный и вычислить следующим образом:
 
Рис.5   Рис.6

 

Пример 6
 
Найти интеграл , где R ограничена прямой и параболой . Решение. Область интегрирования изображена выше на рисунке 6. Найдем точки пересечения прямой и параболы. Следовательно, линии, ограничивающие область R, пересекаются в точках (−3,−6) и (1,2). Тогда исходный двойной интеграл равен
Пример 7
 
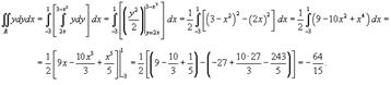
Найти интеграл , где область R ограничена линиями . Решение. Область интегрирования описывается множеством и показана ниже на рисунке 7. Двойной интеграл равен Для вычисления последнего интеграла сделаем замену Если x = 0, то z = 0. Соответственно, при x = 1 имеем z = 1. Тогда интеграл легко вычисляется:
 
Рис.7   Рис.8
Пример 8
 
Вычислить интеграл . Область интегрирования представляет собой треугольник с вершинами O (0,0), B (0,1) и C (1,1). Решение. Область R показана выше на рисунке 8. Очевидно, уравнение стороны треугольника OC имеет вид y = x, а уравнение стороны BC равно y = 1. Рассматривая R как область типа I, получаем Полученный внешний интеграл вычислим с помощью интегрирования по частям. Пусть . Тогда . Следовательно,    
Пример 9
 
Вычислить интеграл , где область R представляет собой параллелограмм со сторонами , a − некоторый параметр. Решение. Будем рассматривать R как область типа II (элементарную относительно оси Ox). Схематически она изображена внизу на рисунке 9. При изменении координаты y от a до 2a, координата x принимает значения между x = y − a и x = y. Поэтому двойной интеграл равен  
   
     

 

Замена переменных в двойных интегралах
 
Для вычисления двойного интеграла иногда удобнее перейти в другую систему координат. Это может быть обусловлено формой области интегрирования или сложностью подынтегральной функции. В новой системе координат вычисление двойного интеграла значительно упрощается. Замена переменных в двойном интеграле описывается формулой где выражение представляет собой так называемый якобиан преобразования , а Sобраз области интегрирования R, который можно найти с помощью подстановки в определение области R. Отметим, что в приведенной выше формуле означает абсолютное значение соответствующего определителя. Предполагая, что преобразование координат является взаимно-однозначным, обратное соотношение описывается якобианом при условии, что знаменатель нигде не равен 0. Итак, замена переменных в двойном интеграле производится с помощью следующих трех шагов: 1. Найти образ S в новой системе координат для исходной области интегрирования R; 2. Вычислить якобиан преобразования и записать дифференциал в новых переменных 3. Заменить в подынтегральном выражении исходные переменные x и y, выполнив, соответственно, подстановки и .
Пример 1
 
Вычислить двойной интеграл , в котором область определения R ограничена прямыми . Решение. Область R схематически показана на рисунке 1. Для упрощения интеграла выполним замену переменных. Полагая , получаем Следовательно, образ S области R имеет вид прямоугольника, как показано на рисунке 2.
 
Рис.1   Рис.2

Определим якобиан данного преобразования.

Тогда

Следовательно, дифференциал преобразуется следующим образом:

В новых переменных интеграл вычисляется намного легче:

Пример 2
 
Вычислить двойной интеграл , в котором область интегрирования R ограничена прямыми линиями . Решение. Область интегрирования R имеет вид неправильного треугольника и показана на рисунке 3. Чтобы упростить ее, введем новые переменные: . Выразим x, y через u, v и определим образ области интегрирования S в новой системе координат. Легко видеть, что
 
Рис.3   Рис.4

Заметим, что

Следовательно,

Таким образом, мы получаем

Если , то . Соответственно, если , то . Область S имеет вид прямоугольного треугольника

(рисунок 4 выше).

Уравнение стороны можно переписать в виде

Найдем якобиан.

Следовательно, и двойной интеграл становится равным

 

Двойные интегралы в полярных координатах
 
Одним из частных случаев замены переменных является переход из декартовой в полярную систему координат (рисунок 1).
 
Рис.1   Рис.2

Якобиан такого преобразования имеет вид

Следовательно, дифференциальный элемент в полярных координатах будет равен

Пусть область интегрирования R в полярных координатах определяется следующим образом (рисунок 2):

Тогда двойной интеграл в полярных координатах описывается формулой

Будем называть полярным прямоугольником область интегрирования, показанную на рисунке 3 и удовлетворяющую

условиям

В этом случае формула замены переменных в двойном интеграле имеет вид

Будьте внимательны, чтобы не пропустить сомножитель (якобиан) r в правой части этой формулы!

 
Рис.3   Рис.4
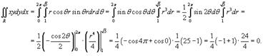
Пример 1
 
Вычислить двойной интеграл , преобразовав его в полярные координаты. Область интегрирования R представляет собой сектор круга радиусом . Решение. Область R в полярных координатах описывается множеством (рисунок 4). Применяя формулу получаем
Пример 2
 
Вычислить интеграл , в котором область интегрирования R представляет собой кольцо, ограниченное окружностями и . Решение. В полярных координатах область интегрирования R является полярным прямоугольником (рисунок 5):
 
Рис.5   Рис.6

Тогда, используя формулу

находим значение интеграла

 

Геометрические приложения двойных интегралов
 
Площадь плоской фигуры Если f (x,y) = 1 в интеграле , то двойной интеграл равен площади области интегрирования R. Площадь области типа I (элементарной относительно оси Оy) (рисунок 1) выражается через повторный интеграл в виде Аналогично, площадь области типа II (элементарной относительно оси Оx) (рисунок 2) описывается формулой
 
Рис.1   Рис.2


<== предыдущая лекция | следующая лекция ==>
Тестирование архиваторов | Объем тела


Карта сайта Карта сайта укр


Уроки php mysql Программирование

Онлайн система счисления Калькулятор онлайн обычный Инженерный калькулятор онлайн Замена русских букв на английские для вебмастеров Замена русских букв на английские

Аппаратное и программное обеспечение Графика и компьютерная сфера Интегрированная геоинформационная система Интернет Компьютер Комплектующие компьютера Лекции Методы и средства измерений неэлектрических величин Обслуживание компьютерных и периферийных устройств Операционные системы Параллельное программирование Проектирование электронных средств Периферийные устройства Полезные ресурсы для программистов Программы для программистов Статьи для программистов Cтруктура и организация данных


 


Не нашли то, что искали? Google вам в помощь!

 
 

© life-prog.ru При использовании материалов прямая ссылка на сайт обязательна.

Генерация страницы за: 0.924 сек.