русс | укр

Языки программирования

ПаскальСиАссемблерJavaMatlabPhpHtmlJavaScriptCSSC#DelphiТурбо Пролог

Компьютерные сетиСистемное программное обеспечениеИнформационные технологииПрограммирование

Все о программировании


Linux Unix Алгоритмические языки Аналоговые и гибридные вычислительные устройства Архитектура микроконтроллеров Введение в разработку распределенных информационных систем Введение в численные методы Дискретная математика Информационное обслуживание пользователей Информация и моделирование в управлении производством Компьютерная графика Математическое и компьютерное моделирование Моделирование Нейрокомпьютеры Проектирование программ диагностики компьютерных систем и сетей Проектирование системных программ Системы счисления Теория статистики Теория оптимизации Уроки AutoCAD 3D Уроки базы данных Access Уроки Orcad Цифровые автоматы Шпаргалки по компьютеру Шпаргалки по программированию Экспертные системы Элементы теории информации

Двумерные массивы


Дата добавления: 2015-06-12; просмотров: 2484; Нарушение авторских прав


3.1. Поиск суммы элементов, удовлетворяющих заданному условию.

3.2. Поиск суммы количества элементов, удовлетворяющих заданному условию.

3.3. Поиск произведения элементов, удовлетворяющих заданному условию.


3.4. Поиск минимального элемента.

 

3.5. Поиск максимального элемента.

 



Приложение 3 Тестовые задания к зачету

1. Значение переменной F, если начальные значения переменных A, B и C равны 1, 1 и 4 соответственно, будет равно


a) 6

b) -4

c) 5

d) 0


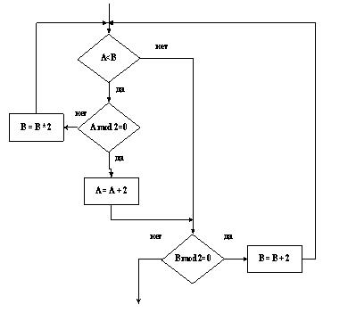
2. Определите, при каких начальных значениях переменных A и B алгоритм, представленный следующей блок-схемой, закончит работу (mod – функция, вычисляющая остаток от деления нацело первого аргумента на второй).


a. A=5, B=3

b. A=4, B=2

c. A=1, B=6

d. A=3, B=5


3. Фрагмент блок-схемы

представляет алгоритм, который содержит …

a. две команды ветвления в полной форме, одна из которых вложена в другую

b. команду ветвления в полной форме и команду выбора, вложенную в команду ветвления

c. команду ветвления в полной форме, в которую вложена команда ветвления в неполной форме

d. команду ветвления в полной форме, в которую вложена команда цикла

4. Значения переменных и после вычисления выражений

будут равны …

(Справка: x div y – результат деления нацело x на y.
x mod y – остаток от деления нацело x на y)


a. a=7, b=22

b. a=7, b=25

c. a=1, b=160

d. a=1, b=4


 


5. Укажите фрагмент программы, соответствующий приведенному фрагменту алгоритма.


a. еслиУсловие 1

то Серия 1

Иначе



если Условие 2

то серия 2

иначе серия 3

Все

Все

b. если Условие 1

то Серия 1

Иначе



еслиУсловие 2

то серия 3

иначе серия 2

Все

Все


c. если Условие 1

то

Иначе



если Условие 2

то серия 2

иначе серия 3

иначе серия 1

Все

Все

 

d. если Условие 1

то Серия 1

Все

еслиУсловие 2

то серия 2

иначе серия 3

Все



 

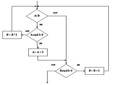
6. Определите, при каких начальных значениях переменных A и B алгоритм, представленный следующей блок-схемой, закончит работу (mod – функция, вычисляющая остаток от деления нацело первого аргумента на второй).


a. A=5, B=3

b. A=4, B=2

c. A=1, B=6

d. A=3, B=5


7. Укажите последовательность команд, в результате выполнения которых значения переменных x и y поменяются местами.


a.

b.

c.

d.


 


 

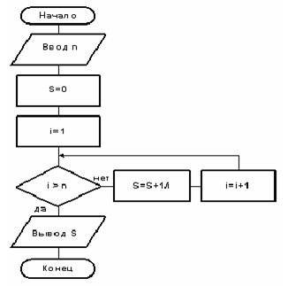
8. Значение переменной S после выполнения алгоритма при n =4 будет равно …


a.

b.

c. 4

d. 0


9. Определите, при каких значениях переменных x, y, z выделенный блок выполнится 2 раза.


a. x=2; y=4; z=1

b. x=1; y=4; z=0

c. x=3; y=3; z=1

d. x=2; y=4; z=3


10. Для того чтобы правильно решить задачу с помощью автоматизированного подхода на ПЭВМ, необходимо пройти определенные этапы ее решения. Эти этапы решения пронумерованы в алфавитном порядке. Найдите правильную цепочку этапов, которая будет соответствовать корректному решению задачи?

1. Анализ результатов работы

2. Детальное описание алгоритма (блок-схема, текстовое)

3. Отладка программы

4. Реализация на языке программирования

5. Создание математической модели

6. Тестирование программы

7. Формализация данных


a. 7-5-2-4-3-6-1

b. 5-7-2-4-6-3-1

c. 7-5-4-2-3-1-6

d. 3-5-2-4-7-6-1


11. Детерминированность алгоритма – это свойство, заключающееся в том, что …

a. алгоритм выдает один и тот же результат (ответ) для одних и тех же исходных данных

b. алгоритм должен быть применим к разным наборам исходных данных

c. при корректно заданных исходных данных алгоритм должен завершать работу за конечное число шагов

d. алгоритм должен завершаться определенными результатами

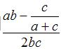
12. Выберите правильную запись выражения

на языке программирования.


a. ((a*b)-c/(a+c))/(2*b*c)

b. (a*b)-c/(a+c)/2*b*c

c. =((a*b)-c/(a+c))/(2*b*c)

d. ((ab)-c/(a+c))/(2bc)



13. Приведенному фрагменту блок-схемы соответствует фрагмент программы …


a) ввод x,z

если (x<100)

то если (z>10)

то y:=x*z

иначе y:=x+z

Все

иначе y:=x+z

Все

вывод y

 

b) ввод x,z

нц

пока(x<100) и(z>10)

y:=x*z

y:=x+z

вывод y

кц


c) ввод x,z

если (x<100)

то если (z>10)

то y:=x+z

иначе y:=x*z

Все

иначе y:=x*z

Все

вывод y

 

 

d) ввод x,z

Выбор

при x<100: y:=x*z

при z>10: y:=x+z

Все

вывод y


14. Результатом компиляции программы, написанной на языке высокого уровня, является...


a. объектный файл

b. исходный текст программы на языке высокого уровня

c. командный файл

d. дисплейный файл

 

 



15. После выполнения фрагмента программы

значение суммы будет равно …


a. 5

b. 7

c. 0

d. 55


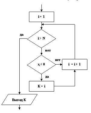
16. Задан одномерный массив X1, X2, …,XN . Фрагмент алгоритма

определяет…


a. индекс последнего отрицательного элемента

b. минимальный элемент массива

 

c. количество отрицательных элементов

d. индекс первого отрицательного элемента


17. Укажите фрагмент программы, соответствующий приведенному фрагменту алгоритма.


a) еслиУсловие 1

то Серия 1

Все

если Условие 2

то Серия 2

иначеСерия 3

Все

b) еслиУсловие 1

то Серия 1

Иначе



если Условие 2

то Серия 2

иначе Серия 3

Все

Все


c) еслиУсловие 1

то

Иначе



если Условие 2

то серия 2

иначе серия 3

иначе серия 1

Все

Все

d) еслиУсловие 1

то Серия 1

Все

если Условие 2

то Серия 3

иначе Серия 2

Все



 

18. Функция mod вычисляет остаток от деления нацело первого аргумента на второй. Значение переменной K после выполнения следующей программы:

k:=0;

нц

для i от 1 до 100

если (mod(i,3)=2) и (mod(i,5)=1)

то k:=k+1

Все

кц

будет равно …


a. 6

b. 7

c. 288

d. 3


19. Детерминированность алгоритма – это свойство, заключающееся в том, что …

a. алгоритм выдает один и тот же результат (ответ) для одних и тех же исходных данных

b. алгоритм должен быть применим к разным наборам исходных данных

c. при корректно заданных исходных данных алгоритм должен завершать работу за конечное число шагов

d. алгоритм должен завершаться определенными результатами

20. Элементы массива в памяти компьютера упорядочены по...


a. возрастанию индексов элементов

b. возрастанию значений элементов

c. алфавиту

d. частотным характеристикам


21. Задан одномерный массив X1, X2, …,XN . Фрагмент алгоритма

определяет…

 


a. индекс последнего отрицательного элемента

b. минимальный элемент массива

c. количество отрицательных элементов

d. индекс первого отрицательного элемента



22. Для визуализации формальной модели вычислительного алгоритма используется …


a. схема алгоритма

b. таблица

c. программа

d. словесная форма

 


Составитель Г. Я. Микитась

 



<== предыдущая лекция | следующая лекция ==>
Одномерные массивы | Постановка задачи.


Карта сайта Карта сайта укр


Уроки php mysql Программирование

Онлайн система счисления Калькулятор онлайн обычный Инженерный калькулятор онлайн Замена русских букв на английские для вебмастеров Замена русских букв на английские

Аппаратное и программное обеспечение Графика и компьютерная сфера Интегрированная геоинформационная система Интернет Компьютер Комплектующие компьютера Лекции Методы и средства измерений неэлектрических величин Обслуживание компьютерных и периферийных устройств Операционные системы Параллельное программирование Проектирование электронных средств Периферийные устройства Полезные ресурсы для программистов Программы для программистов Статьи для программистов Cтруктура и организация данных


 


Не нашли то, что искали? Google вам в помощь!

 
 

© life-prog.ru При использовании материалов прямая ссылка на сайт обязательна.

Генерация страницы за: 0.268 сек.