1.1. Сумма N членов ряда. Перед циклом переменной S, в которой будет накапливаться сумма, должно быть присвоено значение 0.

1.2. Произведение элементов функционального ряда. Перед циклом переменной P, в которой будет накапливаться произведение, должно быть присвоено значение 1.

1.3. Количество членов ряда, удовлетворяющих заданному условию. Перед циклом переменной S, в которой будет накапливаться количество элементов, должно быть присвоено значение 0.

1.4. Возведение числа A в целую степень N. Перед циклом переменной C, в которой будет вычисляться степень, должно быть присвоено значение 1.

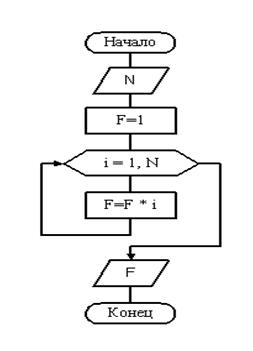
1.5. Вычисление значения факториала числа N. Перед циклом переменной F, в которой будет вычисляться факториал, должно быть присвоено значение 1.

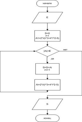
1.6. Сумма ряда с заданной точностью

1.7. Сумма N членов ряда
