Написать программу которая объявляет переменную и сразу выводит её значение на экран.Убедиться что в ней содержится мусор. Для этого необходимо воспользоваться пошаговой отладкой. ( Позже будет дописано как это сделать)
Напишите программу и проверьте, что сокращенная и полная запись арифметических выражений эквивалентна.
Дано число x. Вычислите число x6 при помощи трех операций умножения. Больше ничего использовать нельзя.
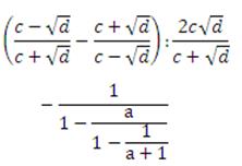
Потренируйтесь в записи обычных формул, в соответствии с правилами языка Си.Пусть дано а=10, с=6, d=100. Напишите программы вычисляющие следующие выражения:

Если всё сделано правильно, то ответ первого выражения будет 0.5
Если все сделано правильно, то ответ второго выражения будет 0.1
Дано трехзначное число. Найдите сумму его цифр.