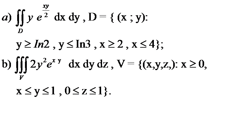
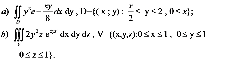
Вариант 1
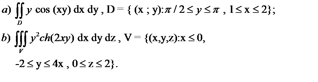
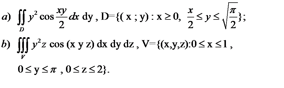
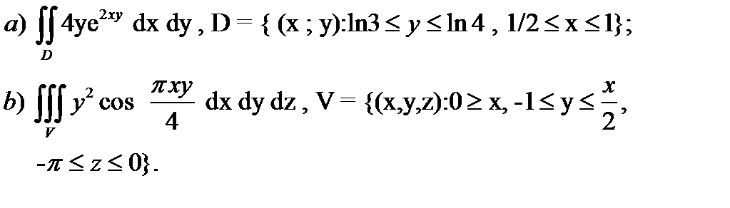
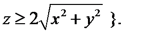
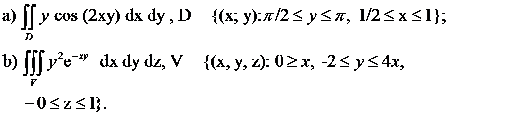
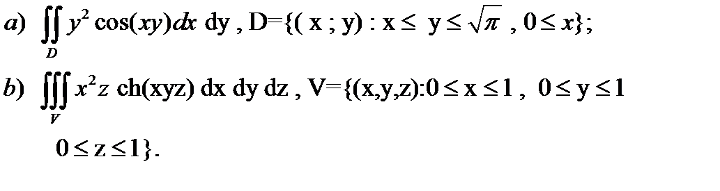
1. Вычислить интегралы:

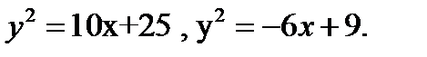
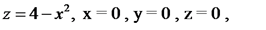
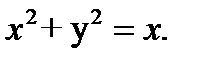
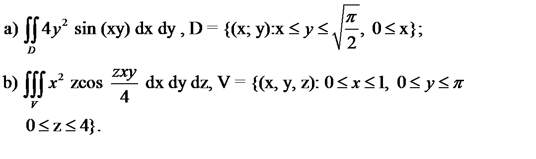
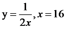
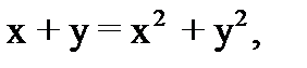
2. Вычислить площадь фигуры, ограниченной линиями

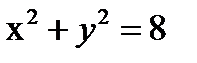
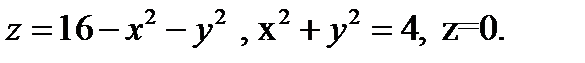
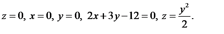
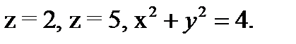
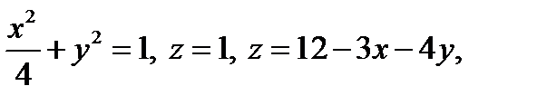
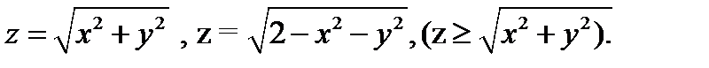
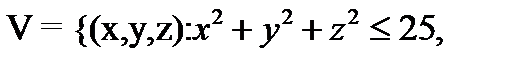
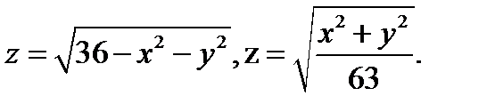
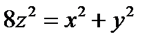
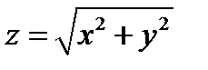
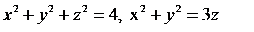
3. Найти объём тела, заключённого между конусом
и гиперболоидом
.
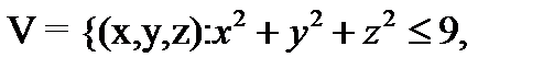
4. Найти площадь поверхности z = x y , вырезаемую цилиндром

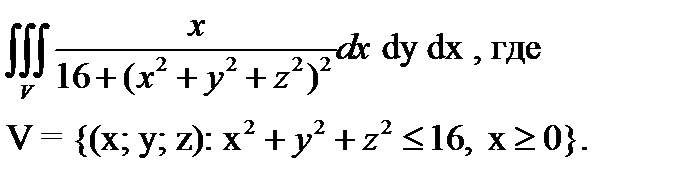
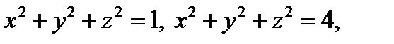
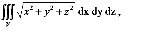
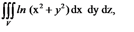
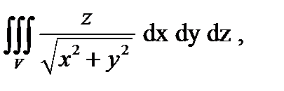
5. Используя сферические координаты, вычислить

6. С помощью тройного интеграла найти объём, заключённый
между поверхностями 
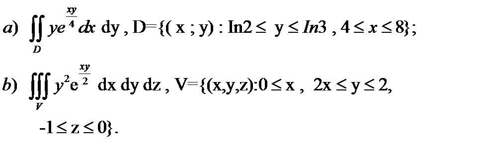
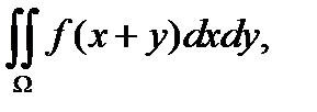
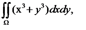
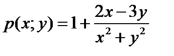
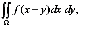
7. В интеграле
перейти к новым переменным

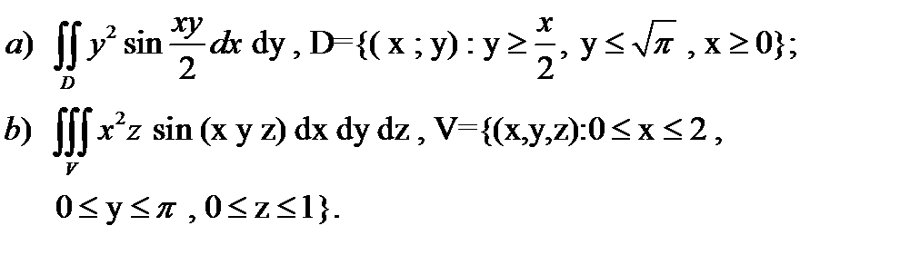
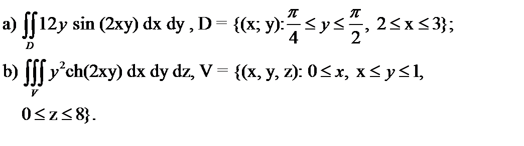
Вариант 2
1. Вычислить интегралы:

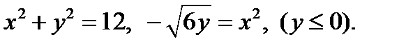
2. Найти площадь фигуры, ограниченной линиями 

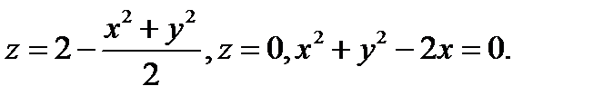
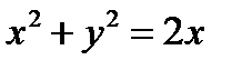
3. Найти объём тела, ограниченного поверхностями

4. Найти площадь части поверхности
, вырезаемой
цилиндром
и плоскостью
.
5. Используя цилиндрические координаты, вычислить интеграл
, где тело ограничено поверхностями
.
6. С помощью тройного интеграла вычислить объем, ограни-
ченный поверхностями 

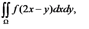
7. В интеграле
, где область Ω ограничена ли-
ниями
, перейти к новым перемен-
ным 
Вариант 3
1. Вычислить интегралы:

2. Найти площадь фигуры, ограниченной линиями 

3. Перейдя к полярным координатам, вычислить объём, ограни-
ченный поверхностями 

4. Найти площадь части поверхности
, вырезанной
плоскостями 
5. Используя сферические координаты, вычислить интеграл

6. С помощью тройного интеграла вычислить объём, ограничен-
ный поверхностями 
7. В интеграле
где область 
перейти к новым переменным
.
Вариант 4
1. Вычислить интегралы:

2. Вычислить площадь фигуры, ограниченной линиями

3. Вычислить объём тела, ограниченного поверхностями

4. Найти площадь части сферы
внутри цилин-
дра 
5. Перейдя к цилиндрическим координаты, вычислить интеграл
где область V ограничена поверхно-
стями 
6. С помощью тройного интеграла найти объём тела, ограни-
ченного поверхностями 

7. В интеграле
где область Ω ограничена кри-
вой
перейти к новым переменным 

Вариант 5
1. Вычислить интегралы:

2. Вычислить площадь фигуры, ограниченной линиями 

3. Вычислить объем тела, ограниченного поверхностями
и
(использовать полярные коорди-
наты).
4. Найти площадь части поверхности
, отсекаемую по-
верхностями 
5. Перейдя к цилиндрическим координатам, вычислить интеграл
где
- область, ограниченная
поверхностями 
6. С помощью тройного интеграла найти объем тела, ограни-
ченного поверхностями 
(перейдя к координатам 

7. В интеграле
где область 
перейти к новым переменным

Вариант 6
1. Вычислить интегралы:

2. Вычислить площадь фигуры, ограниченной линиями

3. Перейти к полярным координатам, вычислить объём, ограни-
ченный поверхностями 
4. Найти площадь части конуса
, внутри цилиндра

5. Перейти к сферическим координатам, вычислить интеграл
где 

6. С помощью тройного интеграла найти объем тела, ограни-
ченного поверхностями 

7. В интеграле
где 
перейти к новым переменным 

Вариант 7
1. Вычислить интегралы:

2. Найти площадь фигуры, ограниченной линиями 

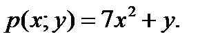
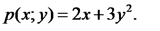
3. Найти массу пластинки
с плот-
ностью 
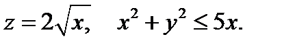
4. Найти площадь части поверхности
, отсеченной плос-
костями 
5. Используя сферические координаты, вычислить интеграл
где область V, ограниченная по-
верхностями 
6. С помощью тройного интеграла найти объем тела, ограни-
ченного поверхностями 
(использовать цилиндрические координаты).
7. В интеграле
где область 
перейти к новым переменным 

Вариант 8
1. Вычислить интегралы:

2. Найти площадь фигуры, ограниченной линиями 

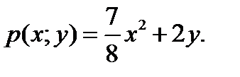
3. Найти массу пластинки
с
плотностью 
4. Найти площадь части поверхности
вырезаемой ци-
линдром
и плоскостью 
5. Используя цилиндрические координаты, вычислить интеграл
где область 

6. С помощью тройного интеграла найти объем тела, ограни-
ченного поверхностями 

7. В интеграле
где область 
перейти к новым переменным 
Вариант 9
1. Вычислить интегралы:

2. Найти площадь фигуры, ограниченной линиями 

3. Найти массу пластинки 
с плотностью
(использовать полярные координаты).
4. Найти площадь части цилиндра
вырезаемой плос-
костями 
5. Используя цилиндрические координаты, вычислить интеграл
где 

6. Найти объем тела, ограниченного поверхностями 

7. В интеграле
где 
перейти к новым пере-
менным 
Вариант 10
1. Вычислить интегралы:

2. Найти площадь фигуры, ограниченной линиями

3. С помощью двойного интеграла вычислить объем тела, огра-
ниченного поверхностями 
4. Найти площадь части поверхности
, вырезанную ци-
линдром
и плоскостью
.
5. Перейдя к цилиндрическим координатам, вычислить интеграл
где V – область, ограниченная поверх-
ностями 
6. С помощью тройного интеграла вычислить объем тела, ограни-
ченного поверхностями 

7. В интеграле
где область 
перейти к новым переменным

Вариант 11
1. Вычислить интегралы:

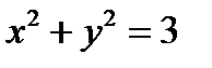
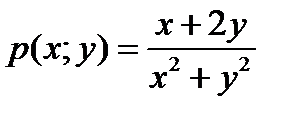
2. Вычислить площадь фигуры, ограниченной линиями 

3. Найти массу пластинки
с
плотностью 
4. Найти площадь части поверхности
, вырезаемой
цилиндром 
5. Перейдя к цилиндрическим координатам, вычислить интеграл
где 
.
6. Вычислить объем тела, ограниченного поверхностями

7. В интеграле
где 
перейти к новым переменным

Вариант 12
1. Вычислить интегралы:

2. Вычислить площадь фигуры, ограниченной линиями

3. Найти массу пластинки 
с плотностью
(использовать полярные координаты).
4. Найти площадь части поверхности
, находящейся
внутри цилиндра
.
5. Перейдя к цилиндрическим координатам, вычислить интеграл
где область V ограничена поверхностями

6. С помощью тройного интеграла вычислить объем тела, ограни-
ченного поверхностями 
7. В интеграле
где 
перейти к новым переменным