Пример 1.
Набрать формулу:

1. Главное меню Вставка – Объект – Формула…. Появится область для набора формулы: 
2. На вкладке Отношения выбрать Меньше или равно (
). Результат: 
3. На вкладке Унарные/бинарные операторы выбрать Вычитание (
). Результат: 
4. Набрать цифру 3 (на клавиатуре). Результат: 
5. На вкладке Скобки выбрать Круглые скобки (
). Результат: 
6. На клавиатуре набрать содержимое скобок (примечание: простую часть формулы можно набирать при помощи клавиатуры, а не только редактора формул). Результат: 
7. Перейти в область вычитаемого: 
8. На вкладке Унарные/бинарные операторы выбрать Деление (дробь) (
). Результат: 
9. В числителе набрать содержимое с помощью клавиатуры. Результат: 
10. Перейти в область знаменателя: 
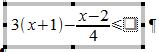
11. Набрать число 4.
12. Перейти в область правой части неравенства. Результат: 
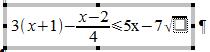
13. На вкладке Унарные/бинарные операторы выбрать Вычитание (
). Результат: 
14. При помощи клавиатуры набрать 5х.
15. Перейти в область вычитаемого. Результат: 
16. При помощи клавиатуры набрать 7 и поставить пробел (нужен для следующего шага, иначе корень не отображается математически).
17. На вкладке Функции выбрать Корень квадратный (
). Результат: 
18. На вкладке Унарные/бинарные операторы выбрать Деление (дробь) (
). Результат: 
19. При помощи клавиатуры в числителе набрать х+3.
20. Перейти в область знаменателя.
21. При помощи клавиатура набрать х–3. Результат: 
22. Щелкнуть левой кнопкой мыши вне области набора формулы. Результат: 
23. Установить курсор в любом месте листа (например, ниже формулы). Результат: 
Обратите внимание, что иногда необходимо поставить пробел (случай с корнем).