русс | укр

Языки программирования

ПаскальСиАссемблерJavaMatlabPhpHtmlJavaScriptCSSC#DelphiТурбо Пролог

Компьютерные сетиСистемное программное обеспечениеИнформационные технологииПрограммирование

Все о программировании


Linux Unix Алгоритмические языки Аналоговые и гибридные вычислительные устройства Архитектура микроконтроллеров Введение в разработку распределенных информационных систем Введение в численные методы Дискретная математика Информационное обслуживание пользователей Информация и моделирование в управлении производством Компьютерная графика Математическое и компьютерное моделирование Моделирование Нейрокомпьютеры Проектирование программ диагностики компьютерных систем и сетей Проектирование системных программ Системы счисления Теория статистики Теория оптимизации Уроки AutoCAD 3D Уроки базы данных Access Уроки Orcad Цифровые автоматы Шпаргалки по компьютеру Шпаргалки по программированию Экспертные системы Элементы теории информации

MS Office Word


Дата добавления: 2015-09-15; просмотров: 948; Нарушение авторских прав


Редактор формул

 

 

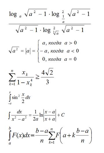
Средствами редактора формул набрать следующие формулы:

Примечание: каждая формула набирается ОТДЕЛЬНЫМ объектом!

 

 

 


Инструкция к работе

 

MS Office Word

 

Наберите следующую систему.

Указания:

1). Запустите редактор формул:

· Выполните командуВставка-Объект, вкладкаСоздание. В спискеТип объекта выберите Microsoft Equation 3.0, щелкните по кнопкеОК. В результате на экране появится новая строка меню, панель инструментовФормула и штриховая рамка (место, зарезервированное под формулу) с полем и курсором.

· Или найдите на одной из панелей кнопку

2). Для создания системы неравенств выполните следующие действия:

· Щелкните по кнопке Шаблоны скобок и в палитре найдите кнопку Открывающая фигурная скобка (названия кнопок палитры отображаются в строке состояния)

· Щелкните по кнопке Шаблоны матриц и в палитре найдите кнопку Матрица из 2 строк и 1 столбца

· Установите указатель курсора мыши в первую строку матрицы и введите выражение 3(х + 1) – с клавиатуры

· Для ввода дроби воспользуйтесь кнопкой Шаблоны дробей и радикалов и в палитре выберите шаблон Вертикальная дробь обычного размера. Перемещаться между элементами формулы можно клавишами управления курсором, клавишей TAB, а также щелкать мышью.

· Вставьте знак < используя кнопку Символы отношений

· Далее наберите с клавиатуры выражение 5х -7

· Вставьте квадратный корень, используя кнопку Шаблоны дробей и радикалов

· После набора первого неравенства установите курсор во вторую строку системы

· Наберите второе неравенство, используя шаблоны круглых скобок и верхнего индекса

· После ввода системы неравенств щелкните мышью вне окна формул для возврата в документ

· Если при наборе формулы были допущены ошибки, то для ее редактирования необходимо вер­нуться в окно редактора формул, выполнив двойной щелчок на формуле



 


 



<== предыдущая лекция | следующая лекция ==>
 | Открытие редактора формул.


Карта сайта Карта сайта укр


Уроки php mysql Программирование

Онлайн система счисления Калькулятор онлайн обычный Инженерный калькулятор онлайн Замена русских букв на английские для вебмастеров Замена русских букв на английские

Аппаратное и программное обеспечение Графика и компьютерная сфера Интегрированная геоинформационная система Интернет Компьютер Комплектующие компьютера Лекции Методы и средства измерений неэлектрических величин Обслуживание компьютерных и периферийных устройств Операционные системы Параллельное программирование Проектирование электронных средств Периферийные устройства Полезные ресурсы для программистов Программы для программистов Статьи для программистов Cтруктура и организация данных


 


Не нашли то, что искали? Google вам в помощь!

 
 

© life-prog.ru При использовании материалов прямая ссылка на сайт обязательна.

Генерация страницы за: 0.448 сек.