I:
S: Непрерывная случайная величина
задана плотностью распределения

| вероятностей
| .
| Тогда математическое ожидание a и
|
| среднее квадратическое отклонение
| этой случайной величины равны …
|

+:
-:
-: 
-:
I:
S: Непрерывная случайная величина X задана плотностью распределения
-( x-4)2
вероятностей f ( x ) = 1 e 18 . Тогда математическое ожидание этой
3
2p
случайной величины равно …
+: 4 -: 9 -: 18
-: 3 I:
S: Непрерывная случайная величина X задана плотностью распределения
-( x-4)2
вероятностей f ( x ) = 1 e 18 . Тогда среднее квадратическое отклонение
3
2p
этой случайной величины равно …
-: 4 -: 9 -: 18 +: 3 I:
S: Непрерывная случайная величина X задана плотностью распределения
-( x-4)2
вероятностей f ( x ) = 1 e 18 . Тогда дисперсия этой случайной
3
2p
величины равно …
-: 4 +: 9 -: 18 -: 3 I:
S: Непрерывная случайная величина X задана плотностью распределения
-( x-5)2
вероятностей f ( x ) = 1 e 32 . Тогда математическое ожидание этой
4
2p
случайной величины равно …
-: 32 +: 5 -: 16 -: 4 I:
S: Непрерывная случайная величина X задана плотностью распределения
-( x-5)2
вероятностей f ( x ) = 1 e 32 . Тогда среднее квадратическое отклонение
4
2p
этой случайной величины равно …
-: 32 -: 5 -: 16 +: 4 I:
S: Непрерывная случайная величина X задана плотностью распределения
-( x-5)2
вероятностей f ( x ) = 1 e 32 . Тогда дисперсия этой случайной
4
2p
величины равно …
-: 32 -: 5 +: 16 -: 4 I:
S: Непрерывная случайная величина X задана плотностью распределения
-( x-7)2
вероятностей f ( x ) = 1 e 72 . Тогда математическое ожидание этой
6
2p
случайной величины равно …
+: 7 -: 36 -: 72 -: 6 I:
S: Непрерывная случайная величина X задана плотностью распределения
-( x-7)2
вероятностей f ( x ) = 1 e 72 . Тогда среднее квадратическое отклонение
6
2p
этой случайной величины равно …
-: 7 -: 36 -: 72 +: 6 I:
S: Непрерывная случайная величина X задана плотностью распределения
-( x-7)2
вероятностей f ( x ) = 1 e 72 . Тогда дисперсия этой случайной
6
2p
величины равно …
-: 7 +: 36 -: 72 -: 6 I:
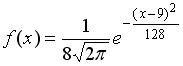
S: Непрерывная случайная величина X задана плотностью распределения

вероятностей .Тогда математическое ожидание этой случайной величины равно …
+: 9 -: 64 -: 128 -: 8 I:
S: Непрерывная случайная величина X задана плотностью распределения

вероятностей .Тогда среднее квадратическое отклонение этой случайной величины равно …
-: 9 -: 64 -: 128 +: 8 I:
S: Непрерывная случайная величина X задана плотностью распределения

вероятностей .Тогда дисперсия этой случайной величины равно …
-: 9 +: 64 -: 128 -: 8