| I:
|
|
|
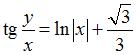
| S: Общий интеграл дифференциального уравнения
| имеет вид
|
| …
|
|
|
| -:
|
|
|
| +:
|
|
|
| -:
|
|
|
| -:
|
|
|
| I:
|
|
|
| S: Общее решение дифференциального уравнения
| имеет вид …
|
| -:
| ,
|
|
| -:
| ,
|
|


+: , 

-: , 
I:
S: Дифференциальное уравнение
путѐм введения
новой неизвестной функции
приведено к уравнению с разделяющимися переменными. Тогда полученное уравнение имеет вид …
-: 

-:

-:

+:
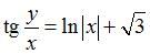
I:
S: Частный интеграл дифференциального уравнения
для начального условия
имеет вид …
-: 

-: +: 

-: I:
S: Однородное дифференциальное уравнение первого порядка решается с помощью замены:
-: x = zy
+: z = y x

-: y = z x

-: z = x y
