русс | укр

Языки программирования

ПаскальСиАссемблерJavaMatlabPhpHtmlJavaScriptCSSC#DelphiТурбо Пролог

Компьютерные сетиСистемное программное обеспечениеИнформационные технологииПрограммирование

Все о программировании


Linux Unix Алгоритмические языки Аналоговые и гибридные вычислительные устройства Архитектура микроконтроллеров Введение в разработку распределенных информационных систем Введение в численные методы Дискретная математика Информационное обслуживание пользователей Информация и моделирование в управлении производством Компьютерная графика Математическое и компьютерное моделирование Моделирование Нейрокомпьютеры Проектирование программ диагностики компьютерных систем и сетей Проектирование системных программ Системы счисления Теория статистики Теория оптимизации Уроки AutoCAD 3D Уроки базы данных Access Уроки Orcad Цифровые автоматы Шпаргалки по компьютеру Шпаргалки по программированию Экспертные системы Элементы теории информации

Система исходных показателей для рейтинговой оценки по данным публичной отчетности


Дата добавления: 2014-12-02; просмотров: 4898; Нарушение авторских прав


1 группа 11 группа III группа IV группа
Показатели оценки прибыльности хозяйственной деятельности Показатели оценки эффективности управления Показатели оценки деловой активности Показатели оценки ликвидности и рыночной устойчивости
1. Общая рентабельность предприятия — балансовая прибыль на 1 руб. активов 2. Чистая рентабельность предприятия - чистая прибыль на 1 руб. активов 3. Рентабельность собственного капитала - чистая прибыль на 1 руб. собственного капитала (средств) 4. Общая рентабельность производственных фондов - балансовая прибыль к средней величине основных производственных фондов и оборотных средств в товарно-материальных ценностях 1. Чистая прибыль на 1 руб. объема реализации 2. Прибыль от реализации продукции на 1 руб. объема реализации 3. Прибыль от финансово-хозяйственной деятельности на 1 руб. объема реализации 4. Балансовая прибыль на 1 руб. объема реализации 1. Отдача всех активов - выручка от реализации на 1 руб.активов 2. Отдача основных фондов — выручка от реализации продукции на 1 руб. основных фондов 3. Оборачиваемость оборотных фондов — выручка от реализации продукции на 1 руб. оборотных средств 4. Оборачиваемость запасов - выручка от реализации продукции на 1 руб. запасов 5. Оборачиваемость дебиторской задолженности -выручка от реализации продукции на 1 руб. дебиторской задолженности 6. Оборачиваемость наиболее ликвидных активов -выручка от реализации на 1 руб. наиболее ликвидных активов 7. Отдача собственного капитала — выручка от реализации на 1 руб. собственного капитала 1. Коэффициент покрытия - оборотные средства на 1 руб. срочных обязательств 2. Коэффициент критической ликвидности - денежные средства, расчеты и прочие активы на 1 руб. срочных обязательств 3. Индекс постоянного актива - основные фонды и прочие внеоборотные активы к собственным средствам 4. Коэффициент автономии — собственные средства на 1 руб. итога баланса 5. Обеспеченность запасов собственными оборотными средствами - собственные оборотные средства на 1 руб. запасов

 



Предлагаемая система показателей базируется на данных публичной отчетности предприятий. Это требование делает оценку массовой, позволяет контролировать изменения в финансовом состоянии предприятия всеми участниками экономического процесса. Оно также позволяет оценить результативность и объективность самой методики комплексной оценки.

Исходные показатели для рейтинговой оценки объединены в четыре группы (убыточные предприятия в данной системе не рассматриваются).

В первую группу включены наиболее обобщенные и важные показатели оценки прибыльности (рентабельности) хозяйственной деятельности предприятия. В общем случае показатели рентабельности предприятия представляют собой отношение прибыли к тем или иным средствам (имуществу) предприятия, участвующим в получении прибыли. Поэтому здесь полагается, что наиболее важными для сравнительной оценки являются показатели рентабельности, исчисленные по отношению чистой прибыли ко всему имуществу или к величине собственных средств предприятия.

В действующей отчетности нет данных о чистой прибыли, т.е. прибыли, остающейся в распоряжении предприятия после расчетов с бюджетом по налогу на прибыль. Поэтому величина чистой прибыли определяется по данным отчета предприятия о финансовых результатах (форма № 2 годовой и квартальной отчетности) по формуле

Рч = Рб - Нр (форма № 2, строка 140, гр. 3 - строка 150, гр. 3),

где Рб балансовая прибыль предприятия (строка 140, гр. 3);

Нр налог на прибыль, причитающийся по расчету в соответствии с Законом РФ о налоге на прибыль предприятий и организаций;

Рч чистая прибыль предприятия, т.е. прибыль, остающаяся в распоряжении предприятия после расчетов с бюджетом по налогу на прибыль.

Во вторую группу включены показатели оценки эффективности управления предприятием. Рассматриваются четыре наиболее общих показателя. Эффективность определяется отношением прибыли ко всему обороту (реализации продукции, работ, услуг). При этом используются показатели прибыли от реализации продукции; прибыль от финансово-хозяйственной деятельности; балансовая прибыль; чистая прибыль.

В третью группу включены показатели оценки деловой активности предприятия. Отдача всех активов (всего капитала) предприятия определяется отношением выручки от реализации продукции (форма № 2, строка 010, гр. 3) к среднему за период итогу баланса. Отдача основных фондов определяется отношением выручки от реализации продукции к средней за период стоимости основных средств и нематериальных активов. Оборачиваемость оборотных фондов (количество оборотов) определяется отношением выручки от реализации продукции к средней за период стоимости оборотных средств.

Оборачиваемость запасов определяется отношением выручки от реализации продукции к средней за период стоимости запасов.

Оборачиваемость дебиторской задолженности определяется отношением выручки от реализации продукции к средней за период сумме дебиторской задолженности.

Оборачиваемость наиболее ликвидных активов определяется отношением выручки от реализации продукции к средней за период сумме наиболее ликвидных активов, т.е. денежных средств и краткосрочных финансовых вложений.

Отдача собственного капитала определяется отношением выручки от реализации продукции (форма № 2, строка 010, гр. 3) к средней за период величине источников собственных средств.

В четвертую группу включены показатели оценки ликвидности и рыночной устойчивости предприятия. Коэффициент покрытия определяется отношением суммы оборотных средств (форма № 1, строка 290) к сумме срочных обязательств. Коэффициент критической ликвидности определяется отношением суммы денежных средств, краткосрочных вложений и дебиторской задолженности (форма № 1, строки 240 + 250 + 260) к сумме срочных обязательств.

Индекс постоянного актива определяется отношением стоимости основных средств и прочих внеоборотных активов (форма № 1, строка 190) к источникам собственных средств (форма № 1, строка 490).

Коэффициент автономии (финансовой независимости) предприятия определяется отношением суммы собственных средств (форма № 1, строка 490) к итогу баланса (форма № 1, строка 399 или 699).

Обеспеченность запасов собственными оборотными средствами определяется отношением суммы собственных оборотных средств (форма № 1, строка 490 - строка 190) к стоимости запасов (форма № 1, строка 210).

При характеристике рыночной устойчивости акционерных компаний полезно использовать относительные показатели: чистая прибыль на 1 акцию, дивиденды на 1 акцию, дивиденды на 1 акцию к рыночному курсу акции и др.

Подчеркнем одно важное обстоятельство. Среди исходных показателей оценки имеются итоговые, результатные показатели, характеризующие объем реализации продукции, прибыль и т.д. за отчетный период. Вместе с тем показатели баланса имеют одномоментный характер, т.е. исчислены на начало и конец отчетного периода. Поскольку все исходные показатели, включенные в табл. 11.6, являются относительными, возникает необходимость методологического обоснования порядка их расчета. Представляется, что нет смысла осуществлять расчет этих показателей на начало периода, потому что данные о прибыли и объеме продаж имеются только за текущий отчетный период. Поэтому показатели табл. 11.6 рассчитываются к усредненным значениям статей баланса.

После набора некоторой статистики для финансового анализа (бухгалтерских отчетов за ряд лет) целесообразно организовать и поддерживать автоматизированную базу данных исходных показателей для рейтинговой оценки, рассчитанных по данным баланса усредненно за каждый период.

В основе расчета итогового показателя рейтинговой оценки лежит сравнение предприятий по каждому показателю финансового состояния, рентабельности и деловой активности с условным эталонным предприятием, имеющим наилучшие результаты по всем сравниваемым показателям. Таким образом, базой отсчета для получения рейтинговой оценки состояния дел предприятия являются не субъективные предположения экспертов, а сложившиеся в реальной рыночной конкуренции наиболее высокие результаты из всей совокупности сравниваемых объектов. Эталоном сравнения как бы является самый удачливый конкурент, у которого все показатели наилучшие.

Такой подход соответствует практике рыночной конкуренции, где каждый самостоятельный товаропроизводитель стремится к тому, чтобы по всем показателям деятельности выглядеть лучшего своего конкурента.

Если субъектов рыночных отношений интересуют только вполне определенные объекты хозяйственной деятельности (например, потенциального инвестора могут интересовать показатели работы только сахарных заводов или кондитерских фабрик, или стекольных заводов и т.д.), то эталонное предприятие формируется из совокупности однотипных объектов. Однако в большинстве случаев эталонное предприятие может формироваться из показателей работы объектов, принадлежащих различным отраслям деятельности. Это не является препятствием применению метода оценки, потому что финансовые показатели сопоставимы и для разнородных объектов хозяйствования.

В общем виде алгоритм сравнительной рейтинговой оценки финансового состояния, рентабельности и деловой активности предприятия может быть представлен в виде последовательности следующих действий.

1. Исходные данные представляются в виде матрицы ij), т.е. таблицы, где по строкам записаны номера показателей (i = 1, 2, 3, ...и), а по столбцам — номера предприятий (j = 1,2,3, ...т).

2. По каждому показателю находится максимальное значение и заносится в столбец условного эталонного предприятия (т + 1).

3. Исходные показатели матрицы стандартизуются в отношении соответствующего показателя эталонного предприятия по формуле

где хij стандартизованные показатели состояния j-го предприятия.

4. Для каждого анализируемого предприятия значение его рейтинговой оценки определяется по формуле

где Rj – рейтинговая оценка для j-го предприятия;

x1j, x2j,..., хnj стандартизованные показатели j-го анализируемого, предприятия.

5. Предприятия упорядочиваются (ранжируются) в порядке убывания рейтинговой оценки. Наивысший рейтинг имеет предприятие с минимальным значением R. Для применения данного алгоритма на практике никаких ограничений количества сравниваемых показателей и предприятий не предусмотрено.

Изложенный алгоритм получения рейтинговой оценки финансового состояния, рентабельности и деловой активности предприятия может применяться для сравнения предприятий на дату составления баланса (по данным на конец периода) или в динамике.

В первом случае исходные показатели, вошедшие в табл. 11.6, рассчитываются по данным баланса и финансовой отчетности на конец периода. Соответственно и рейтинг предприятия определяется на конец периода.

Во втором случае исходные показатели табл. 11.6 рассчитываются как темповые коэффициенты роста: данные на конец периода делятся на значение соответствующего показателя на начало периода либо среднее значение показателя отчетного периода делится на среднее значение соответствующего показателя предыдущего периода (или другой базы сравнения). Таким образом, получаем не только оценку текущего состояния предприятия на определенную дату, но и оценку его усилий и способностей по изменению этого состояния в динамике, на перспективу. Такая оценка является надежным измерителем роста конкурентоспособности предприятия в данной отрасли деятельности. Она также определяет более эффективный уровень использования всех его производственных и финансовых ресурсов.

Возможно также включение в табл. 11.6 одновременно как моментных, так и темповых показателей (т.е. удвоение количества исходных показателей), что позволяет получить обобщенную рейтинговую оценку, характеризующую как состояние, так и динамику финансово-хозяйственной деятельности предприятия.

Данные табл. 11.6 могут быть расширены за счет включения в нее дополнительных показателей из справок, представляемых предприятиями в банки и налоговые инспекции, из форм статистической отчетности и других источников. Особенностью системы показателей, предлагаемой в табл. 11.6, является то, что почти все они имеют одинаковую направленность (за исключением индекса постоянного актива, динамика которого носит сложный характер). Это означает, что чем выше уровень показателя или чем выше его темп роста, тем лучше финансовое состояние оцениваемого предприятия. Поэтому при расширении предлагаемой системы за счет включения в нее новых показателей необходимо следить, чтобы это условие не нарушалось.

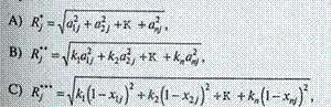
Алгоритм получения рейтинговой оценки также может быть модифицирован. Например, можно использовать одну из нижеследующих формул:

где k1, k2, ..., kп весовые коэффициенты показателей, назначаемые экспертом.

Формула (А) определяет рейтинговую оценку для j-ro анализируемого предприятия по максимальному удалению от начала координат, а не по минимальному отклонению от предприятия-эталона. Упрощенно это значит, что наивысший рейтинг имеет предприятие, у которого суммарный результат по всем однонаправленным показателям выше, чем у остальных.

Формула (В) является модификацией формулы (А). Она учитывает значимость показателей, определяемую экспертным путем. Необходимость введения весовых коэффициентов для отдельных показателей появляется при дифференциации оценки в соответствии с потребностями пользователей.

Формула (С) является аналогичной модификацией основной формулы расчета рейтинга. Она учитывает значимость отдельных показателей при расчете рейтинговой оценки по отношению к предприятию-эталону.

В заключение подчеркнем некоторые достоинства предлагаемой методики рейтинговой оценки финансового состояния, рентабельности и деловой активности предприятия.

Во-первых, предлагаемая методика базируется на комплексном, многомерном подходе к оценке такого сложного явления, как финансовая деятельность предприятия.

Во-вторых, рейтинговая оценка финансовой деятельности предприятия осуществляется на основе данных публичной отчетности предприятия. Для ее получения используются важнейшие показатели финансовой деятельности, применяемые на практике в рыночной экономике.

В-третьих, рейтинговая оценка является сравнительной. Она учитывает реальные достижения всех конкурентов.

В-четвертых, для получения рейтинговой оценки используется гибкий вычислительный алгоритм, реализующий возможности математической модели сравнительной комплексной оценки производственно-хозяйственной деятельности предприятия, прошедший широкую апробацию на практике.

Как показывает практика, зачастую при принятии решения о выборе делового партнера менеджеры компаний оценивают финансовое состояние будущего партнера не с точки зрения близости к эталонному, а с точки зрения отдаленности от критического. Поэтому возникает необходимость введения понятия «условного удовлетворительного предприятия» при выборе базы отсчета рейтинговой оценки. Будем считать, что «условное удовлетворительное предприятие имеет финансовые показатели, соответствующие нормативным минимальным значениям, определенным исходя из критериев эффективности хозяйственной деятельности и организации финансов предприятия, принципов достаточности ликвидности и доходности его капитала и отсутствия оснований признания структуры баланса неудовлетворительной, а предприятия платежеспособным (согласно постановлению Правительства РФ от 20 1994 г. № 498).

На основании изложенного попробуем сформулировать требования, которым должна удовлетворять система финансовых коэффициентов с точки зрения эффективности рейтинговой оценки финансового состояния предприятия.

1. Финансовые коэффициенты должны быть максимально информативными и давать целостную картину устойчивости финансового состояния предприятия.

2. В экономическом смысле финансовые коэффициенты должны иметь одинаковую направленность (положительную корреляцию, т.е. рост коэффициента означает улучшение финансового состояния).

3. Для всех показателей должны быть указаны числовые нормативы минимального удовлетворительного уровня или диапазона изменений.

4. Финансовые коэффициенты должны рассчитываться только по данным публичной бухгалтерской отчетности предприятий.

5. Финансовые коэффициенты должны давать возможность проводить рейтинговую оценку предприятия как в пространстве (т.е. в сравнении с другими предприятиями), так и во времени (за ряд периодов).

На основе этих требований разработаны система показателей и методика рейтинговой экспресс - оценки финансового состояния предприятия.

В общем виде алгоритм определения рейтингового числа анализируемого предприятия выглядит следующим образом.

По установленным алгоритмам на основе данных баланса и других форм отчетности вычисляются финансовые коэффициенты.

Рейтинговое число определяется по формуле

(1)

где L — число показателей, используемых для рейтинговой оценки;

Ni — нормативные требования для i-го коэффициента;

Кi — i-й коэффициент;

1/LNi весовой индекс i-го коэффициента.

Легко видеть, что при полном соответствии значений финансовых коэффициентов К1... КL их нормативным минимальным уровням рейтинг предприятия будет равен 1, выбранной в качестве рейтинга условного удовлетворительного предприятия. Финансовое состояние предприятий с рейтинговой оценкой менее 1 характеризуется как неудовлетворительное.

В случае проведения пространственной рейтинговой оценки получим п оценок (п - количество предприятий), которые упорядочиваются в порядке возрастания. При проведении динамической рейтинговой оценки получим т оценок (т — количество сравниваемых периодов), которые представляют собой временной ряд и далее подвергаются обработке по правилам математической статистики.

Для рейтингования предприятий предлагается использовать пять показателей, наиболее часто применяемых и наиболее полно характеризующих финансовое состояние.

1. Обеспеченность собственными средствами характеризует наличие у предприятия собственных оборотных средств, необходимых для его устойчивости; определяется по формуле

(2)

где IA — итог раздела I актива баланса;

IVП — итог раздела IV пассива баланса;

IIA — итог раздела II актива баланса.

Нормативное требование: К0 ≥ 0,1.

2. Ликвидность (текущая) баланса характеризуется степенью общего покрытия всеми оборотными средствами предприятия суммы срочных обязательств; определяется по формуле

(3)

где: IIA —итог раздела II актива баланса;

стр. 610, 620, 630, 670 —соответствующие строки пассива баланса.

Нормативное требование: Кл ≥ 2,0.

3. Интенсивность оборота авансируемого капитала характеризует объем реализованной продукции, приходящейся на 1 руб. средств, вложенных в деятельность предприятия; определяется по формуле

(4)

где стр. 010 — соответствующая строка формы № 2 Отчет о финансовых результатах;

Т — количество дней в рассматриваемом периоде;

399нач, 399кон. — строки актива баланса, соответствующие началу и концу исследуемого периода.

Нормативное требование: Ки ≥ 2,5.

4. Менеджмент (эффективность управления предприятием) характеризуется соотношением величины прибыли от реализации и величины чистой выручки от реализации; определяется по формуле

(5)

Нормативное требование: Км ≥ (r - 1)/r, где r- учетная ставка Центробанка России.

5. Прибыльность (рентабельность) предприятия характеризует объем прибыли, приходящейся на 1 руб. собственного капитала; определяется по формуле

(6)

где 490нач, 490кон – строки пассива баланса, соответствующие началу и концу исследуемого периода.

Нормативное требование: Кп ≥ 0,2.

Согласно .формуле (1), выражение для рейтингового числа, определяемого на основе этих пяти показателей, будет выглядеть следующим образом:

R =о + 0,1 Ктл + 0,08Ки + 0,45Км + Кп (7)

Таким образом, вычислив значения финансовых показателей по формулам (2) - (6) и подставив их в выражение (7), определяем рейтинговую экспресс-оценку финансового состояния предприятия (см. блок-схему).

Рассмотрим применение предлагаемой методики на примере компании NN и произведем динамическую рейтинговую экспресс-оценку ее финансового состояния поданным баланса (Ф № 1) и формы № 2 бухгалтерского, отчета за периоды 01.01.94-01.01.95 (R1) и 01.01.95-01.10.95 (R2):

R, = 2 х 0,07 + 0,1 х 1,08 + 0,08 х 0,65 + 0,45 х 0,23 + 0,30 = 0,61;

R, = 2 х 0,12 + 0,1 х 1,0 + 0,08 х 1,03 + 0,45 х 0,081 + 0,88 = 1,338,

Таблица заполнена результатами расчетов, сделанных по формулам (2)-(7) на основании бухгалтерской отчетности компании NN.

Изменение финансового состояния компании NN за период с 01.01.94 по 01.01.95 г.

Показатель Нормативное минимальное значение Период 01.01.94-01.01.95 Период 01.01.95-01.10.95 Изменения %
Ко 0,1 0,07 0,12 +71
Кл 2,0 1,08 1,00 -7,4
Ки 2,5 О.65 1,03 +58
Км 0,44 0,023 0.081 +252
Кп 0,2 0,30 0,88 +193
R 0,61 1,34 +120

 

Полученные данные позволяют сделать вывод об улучшении финансового состояния компании с 01.01.95 по 01.10.95 гг., о чем свидетельствует рост рейтинговой экспресс-оценки на 120%. Это обусловлено прежде всего увеличением прибыльности компании на 193%. За указанный период ей удалось покинуть зону «неудовлетворительного» финансового состояния за счет увеличения доли собственных оборотных средств на 71% и интенсивности оборота на 58%.

Представляют интерес также рейтинговые системы, разработанные для других сфер деятельности (банков, страховых компаний, инвестиционных фондов и др.).

Например, с 1978 г. в США для оценки банков используется рейтинговая система CAMEL.

Эта система включает в себя все важнейшие компоненты устойчивости банка, она проста и доступна для понимания, стандартизована и однозначно воспринимается всеми контролирующими органами надзора за банковской деятельностью. В основу системы CAMEL положены разработки Федеральной резервной системы, Контролера денежного обращения и Федеральной корпорации по страхованию депозитов — известных агентств по банковскому надзору.

Название рейтинговой системы CAMEL образовано из начальных букв пяти анализируемых компонентов.

С - показатель достаточности капитала, определяющий размер собственного капитала банка, необходимый для гарантии вкладчиков и соответствия реального размера капитала необходимому.

А - показатель качества активов, определяющий степень возвратности активов и внебалансовых статей, а также финансовое воздействие проблемных займов.

М — показатель качества управления (менеджмента), при помощи которого оценивается система банковского менеджмента на основе эффективности работы, устоявшейся политики, глубины и соблюдения законов и инструкций.

Е — показатель доходности или прибыльности с позиций ее достаточности для будущего роста банка.

L — показатель ликвидности, определяющий, достаточно ли ликвиден банк, чтобы выполнять обычные и форс-мажорные обязательства.

Некоторые из показателей CAMEL могут быть определены заочно на основе документов, поступающих в центральный банк, другие же требуют надзорной проверки на месте для выяснения полной картины. Таким образом, оценка состояния банка при помощи данной системы может быть текущим процессом, хотя лучше всего проводить ее в конце надзорной проверки.

Каждый показатель получает балл от «I» (хорошо) до «5» (неудовлетворительно).

Оценки показателей складываются и делятся на 5 для получения сводной оценки.

Сводная оценка дает банковскому супервизору ясное представление о том, является ли банк в целом «хорошим», «удовлетворительным», «достаточным», «критическим» или «неудовлетворительным».

Но главное — это то, что сводная оценка служит важным показателем степени необходимого вмешательства, которое должно быть предпринято по отношению к банку со стороны контролирующих органов. Рейтинговая система CAMEL представляет собой стандартизованный метод оценки банков, но ее эффективность зависит от умения и объективности супервизоров, осуществляющих проверку и оценку банков на регулярной основе. Приводим примеры стандартных оценок банка.

 

Сводный рейтинг = 1

Диапазон допустимых изменений (1,0-1,4). Полностью здоров во всех отношениях;

Полученные данные не имеют существенного значения;

Можно не менять систему управления;

Устойчив по отношению к внешним экономическим и финансовым потрясениям;

Нет необходимости во вмешательстве органов надзора.

 

Сводный рейтинг = 2

Диапазон допустимых изменений (1,5-2,4). Практически полностью здоров;

Полученные критические данные не имеют существенного значения;

Можно изменить стиль управления;

Стабилен;

Вмешательство органов банковского надзора ограничено и осуществляется лишь в том объеме, который необходим для исправления выявленных недостатков.

 

Сводный рейтинг = 3

Диапазон допустимых изменений (2,5-3,4).

Наличие финансовых, операционных или технических недостатков, варьируемых от допустимых уровней до неудовлетворительных;

Уязвим при неблагоприятных изменениях экономической ситуации;

Может легко разориться, если принимаемые меры по преодолению недостатков оказываются неэффективными;

Необходимо дополнительное вмешательство органов банковского надзора с целью устранения недостатков.

 

Сводный рейтинг = 4

Диапазон допустимых изменений (3,5-4,4).

Серьезные финансовые проблемы;

Сохранение нездоровой ситуации при отсутствии должного внимания к финансовым проблемам;

Без проведения корректирующих мер сложившаяся ситуация может привести к подрыву жизнеспособности в будущем;

Большая вероятность разорения;

Необходимы тщательный надзор и контроль, а также конкретный план преодоления выявленных недостатков.

 

Сводный рейтинг = 5

Диапазон допустимых изменений (4,5-5,5).

Огромная вероятность разорения в ближайшее время;

Выявленные недостатки настолько опасны, что требуется срочная поддержка со стороны акционеров и других финансовых источников;

Без проведения корректирующих мероприятий вероятнее всего будет ликвидирован, объединен с другими или приобретен.

В российской практике широкое признание получила методика рейтинговой оценки Виталия Кромонова (см.: Д.Симонов. Надежность банков: деньги к деньгам. Деньги, 1995, № 2(12), с. 20-29). Она используется для оценки надежности коммерческих банков.

В соответствии с этой методикой надежность банков оценивается по шести критериям (коэффициентам устойчивости финансового состояния банка). Рейтинговое число для оценки степени надежности банка определяется по следующей формуле:

,

где N — рейтинговое число, характеризующее степень надежности банка; для «оптимального» банка N= 100;

К1 размер капитала банка;

К2 - коэффициент мгновенной ликвидности, равный отношению ликвидных активов банка к его обязательствам «до востребования»;

К3 кросс-коэффициент, равный отношению всех обязательств банка к выданным кредитам;

К4 генеральный коэффициент ликвидности, равный отношений ликвидных активов и защищенного капитала к суммарным обязательствам банка;

К5 коэффициент защищенности капитала, равный отношению защищенного капитала к собственному капиталу банка;

К6 – коэффициент фондовой капитализации прибыли, равный отношению собственного капитала банка к деньгам, внесенным учредителями.

С точки зрения надежности оптимальным считается банк, у которого объем выданных кредитов не превышает собственного капитала; средства на расчетных счетах клиентов полностью обеспечены ликвидными активами; риску подвергается не более трети всех доверенных ему средств; совокупные обязательства полностью обеспечены ликвидными активами, недвижимостью и ценностями; капитал полностью инвестирован в недвижимость и ценности; сумма, направленная на развитие, втрое превышает взносы учредителей.




<== предыдущая лекция | следующая лекция ==>
Методы комплексного анализа и рейтинговой оценки предприятий-эмитентов | Годовой бухгалтерский отчет предприятия


Карта сайта Карта сайта укр


Уроки php mysql Программирование

Онлайн система счисления Калькулятор онлайн обычный Инженерный калькулятор онлайн Замена русских букв на английские для вебмастеров Замена русских букв на английские

Аппаратное и программное обеспечение Графика и компьютерная сфера Интегрированная геоинформационная система Интернет Компьютер Комплектующие компьютера Лекции Методы и средства измерений неэлектрических величин Обслуживание компьютерных и периферийных устройств Операционные системы Параллельное программирование Проектирование электронных средств Периферийные устройства Полезные ресурсы для программистов Программы для программистов Статьи для программистов Cтруктура и организация данных


 


Не нашли то, что искали? Google вам в помощь!

 
 

© life-prog.ru При использовании материалов прямая ссылка на сайт обязательна.

Генерация страницы за: 0.243 сек.