Пятифакторная модель:
,
где λM — материалоемкость продукции

λU – трудоемкость продукции:

λA – амортизациемкость:

λA/F — скорость оборачиваемости основного капитала:

λE — оборачиваемость оборотных средств:

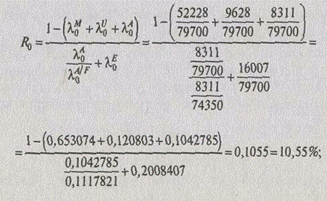
Анализ рентабельности проведем на примере данных, приведенных в табл. 10.8 (см. ранее).
Сначала найдем значение рентабельности для базисного и отчетного года:
для базисного года

для отчетного года:

Рассмотрим, какое влияние на эти изменения оказали пять вышеперечисленных факторов.