русс | укр

Языки программирования

ПаскальСиАссемблерJavaMatlabPhpHtmlJavaScriptCSSC#DelphiТурбо Пролог

Компьютерные сетиСистемное программное обеспечениеИнформационные технологииПрограммирование

Все о программировании


Linux Unix Алгоритмические языки Аналоговые и гибридные вычислительные устройства Архитектура микроконтроллеров Введение в разработку распределенных информационных систем Введение в численные методы Дискретная математика Информационное обслуживание пользователей Информация и моделирование в управлении производством Компьютерная графика Математическое и компьютерное моделирование Моделирование Нейрокомпьютеры Проектирование программ диагностики компьютерных систем и сетей Проектирование системных программ Системы счисления Теория статистики Теория оптимизации Уроки AutoCAD 3D Уроки базы данных Access Уроки Orcad Цифровые автоматы Шпаргалки по компьютеру Шпаргалки по программированию Экспертные системы Элементы теории информации

Алгоритм обучения рекуррентной сети Эльмана


Дата добавления: 2014-11-28; просмотров: 822; Нарушение авторских прав


Для обучения сети Эльмана будем использовать градиентный метод наискорейшего спуска.

Для этого метода необходимо задать формулы, позволяющие рассчитывать градиент целевой функции в текущий момент времени. Целевая функция в момент времени t определяется как сумма квадратов разностей между значениями выходных сигналов сети и их ожидаемыми значениями для всех М выходных нейронов:

(6.26)

При дифференцировании целевой функции относительно весов выходного слоя получаем:

(6.27)

Связи между скрытым и выходным слоем однонаправленные, поэтому:

(6.28)

С учетом этого факта получим:

(6.29)

При использовании метода наискорейшего спуска веса уточняются по формуле:

, (6.30)

где (6.31)

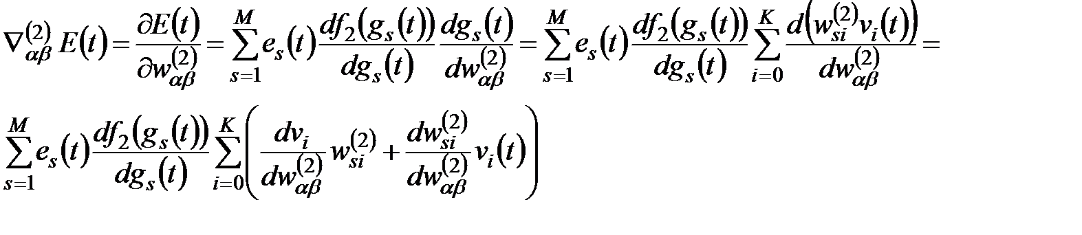
Формулы уточнения весов скрытого слоя сети Эльмана более сложные по сравнению с персептронной сетью из-за наличия обратных связей между скрытым и контекстным слоями. Расчет компонентов вектора градиента целевой функции относительно весов скрытого слоя реализуется по формулам:

(6.32)

(6.33)

где - дельта Кронекера, то есть:

.

Из определения входного вектора (формула (6.21)) в момент времени следует выражение (6.34):

. (6.34)

Это выражение позволяет рассчитать производные целевой функции относительно весов скрытого слоя в момент времени . Следует отметить, что это рекуррентная формула, определяющая производную в момент времени в зависимости от ее значения в предыдущий момент . Начальные значения производных в момент считаются нулевыми:

. (6.35)

Таким образом, алгоритм обучения сети Эльмана можно представить в следующем виде:

1. Присвоить весам случайные начальные значения, имеющие, как правило, равномерное распределение в определенном интервале (например, между -1 и 1).

2. Для очередного момента определить состояние всех нейронов сети (сигналы и ). На этой основе можно сформировать входной вектор для произвольного момента .



3. Определить вектор погрешности обучения для нейронов выходного слоя как разность между фактическим и ожидаемым значениями сигналов выходных нейронов.

4. Сформировать вектор градиента целевой функции относительно весов выходного и скрытого слоя с использованием формул (6.29), (6.32) и (6.34).

5. Уточнить значения весов сети согласно правилам метода наискорейшего спуска:

· для нейронов выходного слоя сети по формуле
(6.36)

· для нейронов скрытого слоя сети по формуле
(6.37)

После уточнения значений весов перейти к пункту 2 алгоритма для расчета в очередной момент времени .

Практические реализации алгоритма обучения сети Эльмана строятся на методе наискорейшего спуска, усиленном моментом. Это значительно повышает эффективность обучения и вероятность достижения глобального минимума целевой функции. При использовании такого подхода уточнение вектора весов в момент времени выполняется в соответствии с формулой:

, (6.38)

где - коэффициент момента, выбираемый из интервала (0, 1). Первое слагаемое этого выражения соответствует обычному методу обучения, второе – учитывает фактор момента, отражающий последнее изменение весов и не зависящий от фактического значения градиента. Чем больше величина , тем большее влияние на подбор весов оказывает слагаемое момента. Его значение существенно возрастает на плоских участках целевой функции и около локального минимума, где значение градиента близко к нулю.

В окрестностях локального минимума фактор момента может вызвать изменение весов, ведущее к росту целевой функции и к выходу из зоны локального минимума с возобновлением поиска глобального минимума.

 




<== предыдущая лекция | следующая лекция ==>
Рекуррентная сеть Эльмана | Структура сети Вольтерри


Карта сайта Карта сайта укр


Уроки php mysql Программирование

Онлайн система счисления Калькулятор онлайн обычный Инженерный калькулятор онлайн Замена русских букв на английские для вебмастеров Замена русских букв на английские

Аппаратное и программное обеспечение Графика и компьютерная сфера Интегрированная геоинформационная система Интернет Компьютер Комплектующие компьютера Лекции Методы и средства измерений неэлектрических величин Обслуживание компьютерных и периферийных устройств Операционные системы Параллельное программирование Проектирование электронных средств Периферийные устройства Полезные ресурсы для программистов Программы для программистов Статьи для программистов Cтруктура и организация данных


 


Не нашли то, что искали? Google вам в помощь!

 
 

© life-prog.ru При использовании материалов прямая ссылка на сайт обязательна.

Генерация страницы за: 0.061 сек.