русс | укр

Языки программирования

ПаскальСиАссемблерJavaMatlabPhpHtmlJavaScriptCSSC#DelphiТурбо Пролог

Компьютерные сетиСистемное программное обеспечениеИнформационные технологииПрограммирование

Все о программировании


Linux Unix Алгоритмические языки Аналоговые и гибридные вычислительные устройства Архитектура микроконтроллеров Введение в разработку распределенных информационных систем Введение в численные методы Дискретная математика Информационное обслуживание пользователей Информация и моделирование в управлении производством Компьютерная графика Математическое и компьютерное моделирование Моделирование Нейрокомпьютеры Проектирование программ диагностики компьютерных систем и сетей Проектирование системных программ Системы счисления Теория статистики Теория оптимизации Уроки AutoCAD 3D Уроки базы данных Access Уроки Orcad Цифровые автоматы Шпаргалки по компьютеру Шпаргалки по программированию Экспертные системы Элементы теории информации

Алгоритм наискорейшего спуска


Дата добавления: 2014-11-28; просмотров: 930; Нарушение авторских прав


Если при разложении целевой функции E(w) в ряд Тейлора ограничиться ее линейным приближением, то мы получим алгоритм наискорейшего спуска. Для выполнения соотношения достаточно подобрать . Условию уменьшения значения целевой функции отвечает выбор вектора направления

. (3.36)

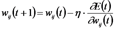
В этом случае коррекция весовых коэффициентов производится по формуле:

(3.37)

В другом виде формулу коррекции весов по методу наискорейшего спуска можно представить следующим образом:

(3.38)

Ограничение слагаемым первого порядка при разложении функции в ряд Тейлора, не позволяет использовать информацию о ее кривизне. Это обуславливает линейную сходимость метода. Указанный недостаток, а также резкое замедление минимизации в ближайшей окрестности точки оптимального решения, когда градиент принимает очень малые значения, делают алгоритм наискорейшего спуска низкоэффективным. Тем не менее, простота, невысокие требования к объему памяти и относительно невысокая вычислительная сложность, обуславливают широкое использование алгоритма. Повысить эффективность удается путем эвристической модификации выражения, определяющего направление градиента.

Одна из модификаций получила название алгоритма обучения с моментом. При этом подходе уточнение весов сети производится по формуле:

(3.39)

где a - это коэффициент момента, принимающий значения в интервале [0, 1].

Первое слагаемое в формуле (3.39) соответствует алгоритму наискорейшего спуска, а второе слагаемое учитывает последнее изменение весов и не зависит от фактического значения градиента. Чем больше значение коэффициента a, тем большее значение оказывает показатель момента на подбор весов. При постоянном значении коэффициента обучения приращение весов остается примерно одинаковым, то есть , поэтому эффективное приращение весов можно писать формулой:



(3.40)

При значении a=0,9 это соответствует десятикратному увеличению значения коэффициента обучения и, следовательно, десятикратному ускорению процесса обучения. При малых значениях градиента показатель момента начинает доминировать, что приводит к такому приращению весов, которое соответствует увеличению значения целевой функции, позволяющему выйти из зоны локального минимума. Однако показатель момента, не должен доминировать на протяжении всего процесса обучения, поскольку это приводит к нестабильности алгоритма. На практике, увеличение целевой функции не допускается больше, чем на 4%. В противном случае, . При этом показатель градиента начинает доминировать над показателем момента и процесс развивается в направлении минимизации, заданном вектором градиента [6].



<== предыдущая лекция | следующая лекция ==>
Алгоритм обратного распространения ошибки | Имитационое моделирование - Метод статических испытаний


Карта сайта Карта сайта укр


Уроки php mysql Программирование

Онлайн система счисления Калькулятор онлайн обычный Инженерный калькулятор онлайн Замена русских букв на английские для вебмастеров Замена русских букв на английские

Аппаратное и программное обеспечение Графика и компьютерная сфера Интегрированная геоинформационная система Интернет Компьютер Комплектующие компьютера Лекции Методы и средства измерений неэлектрических величин Обслуживание компьютерных и периферийных устройств Операционные системы Параллельное программирование Проектирование электронных средств Периферийные устройства Полезные ресурсы для программистов Программы для программистов Статьи для программистов Cтруктура и организация данных


 


Не нашли то, что искали? Google вам в помощь!

 
 

© life-prog.ru При использовании материалов прямая ссылка на сайт обязательна.

Генерация страницы за: 2.977 сек.