<variant>числитель - [3 1], знаменатель – [1 2 5 4 0]
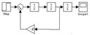
<question>Какое уравнение соответствует схеме моделирования

<variant> 
<question>Задано уравнение моделирования системы:
,
какая команда CST cоответствует набору передаточной функции данного уравнения в коммандном окне MATLAB?
<variant>tf
<question>Задано уравнение моделирования системы:
,
какая команда CST соответствует набору логарифмической частотной характеристики в коммандном окне MATLAB?
<variant>bode
<question>Задано уравнение моделирования системы:
,
какая команда CST соответствует определению полюсов (корней знаменателя) передаточной функции в коммандном окне MATLAB?
<variant>pole
<question>Какая команда CST соответствует построению амплитудно-фазовой частотной характеристки в коммандном окне MATLAB системы:

<variant>nyquist
<question>Задан переходной процесс моделируемой системы:

определить вид передаточной функции системы.
<variant> 
<question>Задан переходной процесс моделируемой системы:

определить вид передаточной функции системы.
<variant> 
<question>Задана схема набора в Matlab Simulink:

Каким эквивалентным блоком можно ее заменить?
<variant>
|
<question>Какой из вариантов не соответствует заданию в Matlab передаточной функции:
.
| <variant>
|
|
| | |
| | |
| | |
| | |
<question>С помощью команд в командном окне MATLAB получена характеристика:

Какой из вариантов соответствует процессу определения коэффициента усиления моделируемой системы?
<variant> 
<question>С помощью команд в командном окне MATLAB получена характеристика:

Какой из вариантов соответствует процессу определения коэффициента усиления моделируемой системы?
<variant> 
<question>Какие блоки Matlab Simulink используются для моделирования уравнения

<variant>интегратор, блок коэффициента (gain), осциллограф
<question>Задана передаточная функция:

Какие коэффициенты соответствуют числителю и знаменателю блока передаточной функции (Transfer Function) в Matlab.
<variant>числитель - [3 1], знаменатель – [1 2 5 0 0]
<question>Какое уравнение соответствует схеме моделирования

<variant>
<question>Задано уравнение моделирования системы:
,
какая команда CST cоответствует набору передаточной функции данного уравнения в коммандном окне MATLAB?
<variant>tf
<question>Задано уравнение моделирования системы:
,
какая команда CST соответствует набору логарифмической частотной характеристики в коммандном окне MATLAB?
<variant>bode
<question>Задано уравнение моделирования системы:
,
какая команда CST соответствует определению полюсов (корней знаменателя) передаточной функции в коммандном окне MATLAB?
<variant>pole
<question>Какая команда CST соответствует построению амплитудно-фазовой частотной характеристки в коммандном окне MATLAB системы:

<variant>nyquist
<question>Задан переходной процесс моделируемой системы:

определить вид передаточной функции системы.
<variant> 
<question>Задан переходной процесс моделируемой системы:

определить вид передаточной функции системы.
<variant> 
<question>Задана схема набора в Matlab Simulink:

Каким эквивалентным блоком можно ее заменить?
| <variant>
|
|
<question>Какой из вариантов не соответствует заданию в Matlab передаточной функции:
.
| <variant> >>w=tf([2 0],[1 1])
|
| | |
<question>Задана передаточная функция разомкнутой системы:
>> w=tf([2],[1 1])
Какая из приведенных команда CST не позволит определить устойчивость разомкнутой системы в коммандном окне MATLAB?
<variant>>>nyquist(w)
<question>Задана передаточная функция системы:

Какая матрица, набранная в MATLAB, соответствует матрице Гурвица?
<variant>>> G33=[0.3 0.1 0;1 0 0;0 0.3 0.1]
<question>Схема набора годографа Михайлова в Matlab Simulink:

Какое из уравнений годографа соответствует схеме набора?
<variant> 
<question>С помощью команд в командном окне MATLAB получена характеристика:

Какой из вариантов соответствует процессу определения коэффициента усиления моделируемой системы?
<variant> 
<question>С помощью команд в командном окне MATLAB получена характеристика:

Какой из вариантов соответствует процессу определения коэффициента усиления моделируемой системы?
<variant> 
<question>С помощью команд в командном окне MATLAB получена характеристика:

Какой из вариантов соответствует процессу определения коэффициента усиления моделируемой системы?
<variant> 
<question>Какие блоки Matlab Simulink используются для моделирования уравнения

<variant>интегратор, блок коэффициента (gain), сумматор, осциллограф, блок входного ступенчатого воздействия
<question>Задана передаточная функция:

Какие коэффициенты соответствуют числителю и знаменателю блока передаточной функции (Transfer Function) в Matlab.
<variant> числитель - [3 0 0], знаменатель – [1 2 5 4 0]

<variant> 
<question>Задано уравнение моделирования системы:
,
какая команда CST cоответствует набору передаточной функции данного уравнения в коммандном окне MATLAB?
<variant>tf
<question>Задано уравнение моделирования системы:
,
какая команда CST соответствует набору логарифмической частотной характеристики в коммандном окне MATLAB?
<variant>bode
<question>Задано уравнение моделирования системы:
,