В комбинаторных задачах нас интересуют не сами размещения, а их количество.
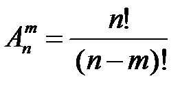
Число размещений из n элементов по m обозначается
и находится по формуле:
,
гдеn! (n-факториал) – произведение n первых натуральных чисел:
1! =1; 2!=1
2=2; 3!= 1
2
3=6; 4!= 1
2
3
4=24;
n!= 1
2
3
…
n (при n>2) 0!=1
Пример. Имеется алфавит из 20 букв. Сколько можно составить трёхбуквенных «слов», если буквы в «слове» не повторяются?
Так как при составлении слова важен порядок расположения букв, то для решения задачи найдём число размещений из 20 по 3:

Перестановкаиз nэлементов – это размещение из n различных элементов по n. Чтобы получить разные перестановки выбирают все n элементов множества и меняют их местами.
Например, все перестановки из 3 элементов множества {f; p;q} составляют следующее множество: {{f;p;q}, {f;q;p}, {p;q;f}, { p;f;q}, {q;f;p}, {q;p;f}}.