русс | укр

Языки программирования

ПаскальСиАссемблерJavaMatlabPhpHtmlJavaScriptCSSC#DelphiТурбо Пролог

Компьютерные сетиСистемное программное обеспечениеИнформационные технологииПрограммирование

Все о программировании


Linux Unix Алгоритмические языки Аналоговые и гибридные вычислительные устройства Архитектура микроконтроллеров Введение в разработку распределенных информационных систем Введение в численные методы Дискретная математика Информационное обслуживание пользователей Информация и моделирование в управлении производством Компьютерная графика Математическое и компьютерное моделирование Моделирование Нейрокомпьютеры Проектирование программ диагностики компьютерных систем и сетей Проектирование системных программ Системы счисления Теория статистики Теория оптимизации Уроки AutoCAD 3D Уроки базы данных Access Уроки Orcad Цифровые автоматы Шпаргалки по компьютеру Шпаргалки по программированию Экспертные системы Элементы теории информации

Алгоритмы идентификации на основе замкнутых динамических систем


Дата добавления: 2014-10-07; просмотров: 974; Нарушение авторских прав


 

Традиционно структурный синтез систем автоматического управления, фильтров, прогнозаторов, идентификаторов осуществляется двумя путями. Для достаточно простых динамических моделей, без существенных ограничений на характеристики внешних воздействий и вид критерия оптимизации задача решается аналитически. В более сложных случаях привлекаются эвристические соображения [1, 11].

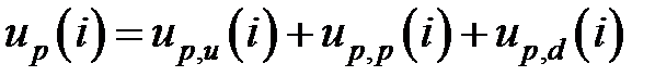
В соответствии с концепцией новых типов обратной связи [52] и разработками по синтезу наблюдателей состояния [53] представляется целесообразным рассматривать структуру идентификатора в виде замкнутой динамической системы. Объектом управления в таком случае является модель объекта заданной структуры с неизвестными параметрами, а параметрическое управление вырабатывается регулятором из условия минимизации нормы от выходных воздействий модели и натурного объекта. При таком представлении структуры идентификатора для синтеза регулятора можно воспользоваться хорошо развитыми методами теории управления. Постановка задачи в этом случае сводится к следующей схеме.

Дано.1. Общая структура идентификатора в виде замкнутой динамической системы параметрического управления, которая представлена на рисунке 19.

2. Множество структур моделей объекта.

3. Задание на свойства ошибки εy.

4. Методы теории автоматического управления для синтеза законов регулирования параметрического регулятора.

Требуется. Синтезировать алгоритмы идентификации.

В соответствии с данной постановкой задачи выполнен синтез идентификаторов в виде замкнутой динамической системы[1]

для объектов, представленных типовыми звеньями теории автоматического регулирования;

– для множественных объектов, у которых число управляющих и внешних воздействий превышает число выходных целевых воздействий.

 

Объект идентификации
Модель объекта  
Параметрический регулятор  
Up
UD
YD
Y
YM
-
+
+
-
εy
Задание на свойства εy
Идентификатор
WD
W
U



W, U, Y - измеренные внешние, координатные управляющие и выходные воздействия; Up - параметрическое управляющее воздействие на модель объекта; индексы: “D” – действительные, “М” – модельные воздействия;

- измерительный блок

Рисунок 19 - Общая структура идентификатора

 

Синтез алгоритмов идентификации объектов, представленных типовыми звеньями ТАР. В простейшем случае объект представлен моделью в виде пропорционального звена

, (82)

где – параметрическое управляющее воздействия;

– дискретное время.

Закон регулирования синтезирован по методике [5] для систем предельной динамической точности. В результате получен интегральный закон регулирования, дискретным аналогом которого является суммарный закон [56] вида

, (83)

где – настроечный коэффициент, выбираемый, например, по методике [5];

- шаг дискретизации.

Тогда алгоритм идентификации в виде замкнутой динамической системы можно представить следующим образом

. (84)

Аналогичным образом получены алгоритмы идентификации параметрических управляющих воздействий (таблица 1) для других типовых звеньев ТАР. Эти идентификаторы совпадают по структуре с известным алгоритмом Качмажа [1] для одномерных объектов, что является подтверждением правильности выбранного подхода синтеза идентификаторов.

Синтез алгоритмов идентификации множественных объектов. Для объектов, число управляющих и внешних воздействий которых превышает число выходных целевых воздействий, а чистое запаздывание по каналам преобразования воздействий различны, алгоритм идентификации синтезирован следующим образом.

Модель объекта представлена в виде

, (85)

где – оцениваемые параметрические управляющие воздействия;

– входные воздействия объекта идентификации;

– дискретное чистое запаздывание – ;

– время чистого запаздывания;

– шаг дискретизации;

; – количество воздействий.

Закон регулирования таких объектов принят по аналогии [54] и включает следующие операции.

1. Расчет фактически реализованного эквивалентного параметрического управления , приведенного к одному -му параметрическому управляющему воздействию

, (86)

2. Расчет ошибки регулирования

. (87)

где - расчетное выходное воздействие по выражению (85).

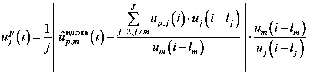
3. Оценивание идеального эквивалентного параметрического управляющего воздействия

, (88)

, (89)

где – настроечный коэффициент.

4. Экстраполяция идеального эквивалентного параметрического управляющего воздействия на интервалы времени запаздывания в различных каналах преобразования внешних воздействий, в частности “простой сдвижкой”

 

. (90)

5. Расчет параметрического управления (коэффициента) для каждого -ого канала


Модель Идентификатор
Структура Коэффициенты
1. Дискретное пропорциональное звено: ; ; .
2. Дискретный аналог интегрирующего звена: ; ; .
3. Дискретный аналог инерционного звена 1-ого порядка: ; ; ; ; .
4. Дискретный аналог инерционного звена 2-ого порядка:   ; ; ; ; ; ;

Таблица 1 − Алгоритмы идентификации типовых звеньев ТАР


. (91)

Алгоритм идентификации (85) – (91) можно применять не только для коэффициентов передачи, но и для оценивания всех коэффициентов типовых звеньев САР. Для этого последние следует преобразовать к виду (1.110) по схеме Гаммерштейна [11].

Например, дискретный аналог инерционного звена первого порядка

, (92)

приводится к линейно-параметрическому виду

, (93)

где , .

Тогда оценивать неизвестные коэффициенты и можно по выражениям (85) – (91), принимая время чистого запаздывания равное нулю по каждому каналу.

Таким образом, предложенная процедура синтеза алгоритмов идентификации, представленных в виде замкнутой динамической системы, позволила создать простой инструментарий построения последних для многих типов объектов идентификации без применения сложных вычислительных процедур оптимизации и значительно ослабляет предпосылки аналитического синтеза алгоритмов идентификации, а задача идентификации может быть представлена как задача регулирования.

1. Для случая одного параметра (пропорциональное или интегральное звено).

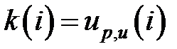
Идентификатор представлен в виде замкнутой динамической системы регулирования (ЗДСР) (рисунок 20). В ней объектом регулирования является модель натурного объекта идентификации известной (заданной) структуры с неизвестными коэффициентами kj(i); j= ;

J – число коэффициентов, подлежащих оцениванию;

 

 

Рисунок 20 − Идентификатор в виде замкнутой динамической системы регулирования

Здесь y(i) выступает в качестве задающего воздействия, оно вырабатывается натурным объектом идентификации (или действующей физической моделью). Объект регулирования в этой ЗДСР, то есть модель объекта идентификации имеет один выход и два входа.

Если ym(i) = km(i) * u(i), то задача регулирования состоит в том, чтобы при известных значениях y(i) и u(i), при заданной структуре модели объекта идентификации ( то есть параметрического объекта регулирования) найти с помощью итерационного алгоритма параметрического регулирования такие значения коэффициента km(i), которые минимизируют какую либо норму значений y(i) и ym(i) например в виде среднеквадратического или средне модульного критерия.

Согласно методике проф. Ротача В.Я. для такого объекта регулирования нужно использовать для выработки регулирующих воздействий km(i) интегральные законы регулирования. Такая же структура идентификатора в виде ЗДСР для динамического объекта с одним параметром, например интегральное звено, дифференциально-разностное уравнение которого имеет вид:

ym(i) = ym(i-1)+ k(i)* u(i).

2. Для случая двух неизвестных параметров, например, инерционное звено первого порядка.

 


Рисунок 11 − Идентификатор в виде ЗДСР для двух неизвестных параметров.

 

Объект динамический, структура его модели в виде дифференциально-разностного уравнения имеет вид:

уm(i) = k1m(i) · ym(i) + k2m · u(i);

3. Для трех неизвестных параметров −инерционное звено второго порядка. Объект также является динамическим, а структура его модели описывается дифференциально-разностным уравнением вида

уm(i) = k1m(i) · ym(i) + k2m(i) · y(i-2) + k3m(i) · u(i);

Особенностью задачи идентификации в последних двух случаях, в отличие от первого, состоит в том, что коэффициенты k1m(i), k2m(i) и k3m(i) будут между собой тесно связаны статистически, что нарушает одну из предпосылок эффективного применения известных статистических методов

 

 

Рисунок 22 − Идентификатор в виде ЗДСР для трех неизвестных параметров.

 

 



<== предыдущая лекция | следующая лекция ==>
Оценка соответствия полученной модели экспериментальным данным | Общая структура


Карта сайта Карта сайта укр


Уроки php mysql Программирование

Онлайн система счисления Калькулятор онлайн обычный Инженерный калькулятор онлайн Замена русских букв на английские для вебмастеров Замена русских букв на английские

Аппаратное и программное обеспечение Графика и компьютерная сфера Интегрированная геоинформационная система Интернет Компьютер Комплектующие компьютера Лекции Методы и средства измерений неэлектрических величин Обслуживание компьютерных и периферийных устройств Операционные системы Параллельное программирование Проектирование электронных средств Периферийные устройства Полезные ресурсы для программистов Программы для программистов Статьи для программистов Cтруктура и организация данных


 


Не нашли то, что искали? Google вам в помощь!

 
 

© life-prog.ru При использовании материалов прямая ссылка на сайт обязательна.

Генерация страницы за: 3.373 сек.