русс | укр

Языки программирования

ПаскальСиАссемблерJavaMatlabPhpHtmlJavaScriptCSSC#DelphiТурбо Пролог

Компьютерные сетиСистемное программное обеспечениеИнформационные технологииПрограммирование

Все о программировании


Linux Unix Алгоритмические языки Аналоговые и гибридные вычислительные устройства Архитектура микроконтроллеров Введение в разработку распределенных информационных систем Введение в численные методы Дискретная математика Информационное обслуживание пользователей Информация и моделирование в управлении производством Компьютерная графика Математическое и компьютерное моделирование Моделирование Нейрокомпьютеры Проектирование программ диагностики компьютерных систем и сетей Проектирование системных программ Системы счисления Теория статистики Теория оптимизации Уроки AutoCAD 3D Уроки базы данных Access Уроки Orcad Цифровые автоматы Шпаргалки по компьютеру Шпаргалки по программированию Экспертные системы Элементы теории информации

Рабочие характеристики асинхронного двигателя


Дата добавления: 2014-07-12; просмотров: 3275; Нарушение авторских прав


К рабочим характеристикам асинхронного двигателя относятся:

- зависимость числа оборотов ротора n;

- зависимость моментов М;

- зависимость потребляемого тока статора I1;

- зависимость КПД η;

- зависимость от величины, полученной мощности на валу двигателя , при неизменных параметрах питающей сети (U1 = const, f1 = const).

Резкое возрастание тока при нагрузках, примерно 80 % от Iн и более, является основной причиной выхода асинхронного двигателя из строя. Поэтому длительный режим перегрузки (P2 > 1) недопустим.

 

 

 

При включении асинхронного двигателя на нагрузку происходит резкое возрастание Р2 и КПД увеличивается. При дальнейшем

 

 

 

Моменты АД.

 

АД создает на валу вращающий момент М, который состоит из тормозящего момента х.х. М0 и полезного тормозящего (нагрузочного) момента М2.

 

М=М0+М2=Мст

где Мст –статический момент двигателя.

 

 

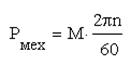
соответствующая статическому моменту полная механическая мощность АД составляет:

 

Передаваемая через зазор от обмотки статора на ротор мощность называется электромагнитной.

 

 

 

 

 

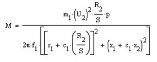
Исходя из общих соотношений между мощностью и моментами, учитывая влияние конструктивных данных двигателя на величину момента, можно получить общую формулу для АД.

 

(13)

где m1 число фаз.

 

Другая более общая форма записи позволяет рассчитать момент без учета величины Е2 ( ЭДС ротора), а исходя только из параметров питающей сети и конструктивных параметров своего двигателя. При этом учитывается влияние нагрузки на величину момента:

(14)

 

 

Здесь зависимость от сети выражается U1 и f1, зависимость от конструкции m1,p,R2,x1,x2.

Зависимость момента от нагрузки заключается только в величине скольжения S.



 

 

При синхронном ходе ротора n1 = n, S=0, следовательно M=0.

При пуске M=0, а S=1.

 

Замечание: комплекс с1~1+X1/Xм появляется в результате допущений при выводе общей формулы момента, здесь Xм – величина намагничивающего индуктивного сопротивления в схеме замещения АД.

 

Пусковой момент АД.

Формула пускового момента получается из общей, если подставить S=1.

 

Максимальный момент АД.

Величина Мmax определяется из условия: dM/dS=0

Отсюда

Величина отношения Mmax к Mн называется апрокидывающим моментом. Он отражает перегрузочную способность двигателя.

 

Mmax/Mн=1.6:1.8 (до 100 кВт)

 

Mmax/Mн=1.8:2.2 (до 400 кВт)

 

Mmax/Mн=2.5:3.0 (для машин специального исполнения)

 

Отношение Mп к Mн называется кратностью пускового момента.

 

Зависимость момента М от величины активного сопротивления в цепи реактора.

 

Как известно включать добавочное сопротивление R2 можно в цепь ротора только Адфр. При этом чем больше R2 включенное в цепь ротора, тем раньше после пуска достигается максимальный момент АД, при этом величина самого Mmax не меняется. С ростом R2 увеличивается также и величина пускового момента.

 

Добавочные моменты.

Помимо основного момента создаваемого первыми гармониками тока и потока в АД возникают добавочные (паразитные) моменты: вибрационные возникают при определенных частотах вращения ротора; асинхронные, создаваемые высшими гармониками тока; синхронные (резонансные) возникают при определенных скоростях вращения и определенных конфигурациях зубцовых зон АД.

 

Регулирование частоты вращения ротора

Способами частоты вращения ротора являются:

1. переключение числа полюсов обмотки статора;

2. регулирование частоты питающего напряжения.

Помимо этого существуют еще два, гораздо менее применимых, способа регулировки оборотов:

3. регулирование величины питающего напряжения;

4. регулирование сопротивления обмотки ротора (R2').

 

Переключение числа полюсов обмотки статора:

- на статор укладывается одна обмотка, разделенная на отдельные части, имеющие отдельные выводные клеммы;

- на статоре выполняются две независимые обмотки;

- на статоре выполняются две обмотки, причем каждая с переключением пары полюсов.

Переключение частей обмотки осуществляется посредством изменения направления тока в отдельных половинках каждой фазы.

Следует иметь в виду, что при изменении частоты вращения n, изменяются также и момент М, развиваемый на валу двигателя, а также ЭДС обмотки статора.

Как известно,

При этом основной магнитный поток:

 

где D –диаметр расточки статора

l – длина пакета статора

- полюсное деление

 

Следовательно

где p1- минимальное число полюсов

p2 – удвоенное число пар полюсов

 

Регулирование n, посредством изменения частоты питающей сети, осуществляется посредством использования преобразователя частоты, включаемого между тремя фазами питающей сети и тремя фазами обмотки статора.

Основным условием такого регулирования, как правило, является обеспечение постоянства момента на валу двигателя. Так как момент пропорционален квадрату частоты, то

U1'/U1=(f1'/f1)2

 

Т.е. при таком регулировании частоты вращения n, подводимой к статору асинхронного двигателя, напряжение должно изменяться пропорционально квадрату частоты f.

 

Способ регулирования оборотов n, посредством изменения питающего напряжения, применяется редко (только в специальных электрических приводах), в виду его малой эффективности (при изменении U1 на 10%, величина n изменяется на 1%).

Способ регулирования n, посредством изменения R2', возможно только в асинхронном двигателе с фазным ротором, и по своей эффективности соизмеримо с предыдущим, и применяется редко.

Серии асинхронного двигателя

 

 

АД относятся к высоко унифицированным электрическим машинам. В международной системе интер-электро АД классифицируются в единые серии.

В серии 4А классифицируются Адкз в диапазоне мощностей от 50 Вт до 500 кВт, с n=500-3000 об/мин.

Обозначение типа двигателя расшифровывается так:

 

4А*355М2У3

 

4-порядковый номер серии

А- тип АД

*-если ничего нет, то это закрытого исполнения, если Н, то защищенное исполнение

М- установочные размеры по длине корпуса

2-число полюсов обмоток статора

У- климатическое исполнение (умеренный)

3-категория размещения (высота над уровнем моря)

 

В серии ГОСТы:

-шкала мощности

-тип изоляции

-тип выводного устройства

 

Кроме того в каждом типе существуют специальные исполнения АД: малошумные, безыскровые, с повышенным пусковым моментом, с повышенным скольжением, встраиваемые, фланцевые, с фазным ротором, мало скоростные.

 



<== предыдущая лекция | следующая лекция ==>
Асинхронные машины. | Однофазные АД.


Карта сайта Карта сайта укр


Уроки php mysql Программирование

Онлайн система счисления Калькулятор онлайн обычный Инженерный калькулятор онлайн Замена русских букв на английские для вебмастеров Замена русских букв на английские

Аппаратное и программное обеспечение Графика и компьютерная сфера Интегрированная геоинформационная система Интернет Компьютер Комплектующие компьютера Лекции Методы и средства измерений неэлектрических величин Обслуживание компьютерных и периферийных устройств Операционные системы Параллельное программирование Проектирование электронных средств Периферийные устройства Полезные ресурсы для программистов Программы для программистов Статьи для программистов Cтруктура и организация данных


 


Не нашли то, что искали? Google вам в помощь!

 
 

© life-prog.ru При использовании материалов прямая ссылка на сайт обязательна.

Генерация страницы за: 0.579 сек.