русс | укр

Языки программирования

ПаскальСиАссемблерJavaMatlabPhpHtmlJavaScriptCSSC#DelphiТурбо Пролог

Компьютерные сетиСистемное программное обеспечениеИнформационные технологииПрограммирование

Все о программировании


Linux Unix Алгоритмические языки Аналоговые и гибридные вычислительные устройства Архитектура микроконтроллеров Введение в разработку распределенных информационных систем Введение в численные методы Дискретная математика Информационное обслуживание пользователей Информация и моделирование в управлении производством Компьютерная графика Математическое и компьютерное моделирование Моделирование Нейрокомпьютеры Проектирование программ диагностики компьютерных систем и сетей Проектирование системных программ Системы счисления Теория статистики Теория оптимизации Уроки AutoCAD 3D Уроки базы данных Access Уроки Orcad Цифровые автоматы Шпаргалки по компьютеру Шпаргалки по программированию Экспертные системы Элементы теории информации

Энергетические соотношения в электродинамике.Сторонние токи и заряды


Дата добавления: 2014-05-02; просмотров: 1675; Нарушение авторских прав


 

Термины:

- опорное («эталонное») ПО: ПО, используемое для сравнения с аттестуемым ПО и отвечающее высшим требованиям к его функциональным и вычислительным характеристикам.

 

 

Методы аттестации усложнились по сравнению с МИ 2174:

- проверка документации на соответствие ГОСТ Р 8.654,

- проверка разделения ПО на метрологически значимое и незначимое,

- установление наличия и проверка идентификационных данных ПО,

- проверка защиты ПО от преднамеренных и непреднамеренных искажений,

- оценка влияния ПО на МХ СИ:

· Метод сравнительных испытания с использованием моделей исходных данных по МИ 2174,

· Сличение нескольких ПО сопоставимого уровня при отсутствии «эталонного»,

· Сравнительные испытания с использованием «эталонного» ПО, включая методы генерации «эталонных» данных (один и тот же набор входных параметров для аттестуемого и «эталонного» ПО например при анализе статистических характеристик).

Представление результатов

- перечень аттестуемых характеристик согласуется с заказчиком,

- все оцененные характеристики заносят в протокол аттестации.

Оценка уровня защиты и отнесение к одному из трех:

А – не требуется специальных средств защиты метрологически значимой части ПО и измеренных данных от преднамеренных изменений,

В – метрологически значимая часть ПО и измеренные данные недостаточно защищены от преднамеренных изменений,

С - метрологически значимая часть ПО и измеренные данные достаточно защищены от преднамеренных изменений.

Энергетические соотношения в электродинамике.Сторонние токи и заряды

При рассмотрении уравнений Максвелла под вектором j подразумевалась плотность тока проводимости, возникающего в проводящей среде под воздействием электромагнитного поля. Этот вектор удовлетворяет закону Ома в дифференциальной форме. Для рассмотрения реальной электродинамической задачи вводят некоторые токи, которые рассматриваются как первопричина возникновения электромагнитного поля и считаются заданными. Эти токи принято называть сторонними.



Для учета сторонних токов следует первое уравнение Максвелла представить в виде:

(1)

где - плотность сторонних токов в рассматриваемой точке пространства, a — как и прежде, плотность тока проводимости, вызванного электромагнитным полем: .

Аналогично сторонним токам вводится понятие сторонних зарядов. Они учитываются в третьем уравнении Максвелла:

(2)

где - объемная плотность сторонних зарядов.

Второе и четвертое уравнения Максвелла остаются без изменений. В случае переменных полей функции и связаны уравнением непрерывности

(3)

При анализе некоторых задач вместо сторонних токов задается сторонняя напряженность электрического поля . В большинстве случаев при исследовании электродинамических явлений под подразумевается напряженность электрического поля, создаваемого зарядами и токами, расположенными за пределами рассматриваемой области.

2. Уравнение баланса мгновенных значений мощности

Электромагнитное поле является одной из форм материи. Как и любая другая форма материи, оно обладает энергией. Эта энергия может распространяться в пространстве и преобразовываться в другие формы энергии.

Сформулируем уравнение баланса для мгновенных значений мощности применительно к некоторому объему , ограниченному поверхностью S (рис. 6). Пусть в объеме , заполненном однородной изотропной средой, находятся сторонние источники. Из общих физических представлений очевидно, что мощность, выделяемая сторонними источниками, может расходоваться на джоулевы потери и на изменение энергии электромагнитного поля внутри V, а также может частично рассеиваться, уходя в окружающее пространство через поверхность S. При этом должно выполняться равенство

(4)

Рис 6
где -мощность сторонних источников; - мощность джоулевых потерь внутри объема V; - мощность, проходящая через поверхность S; W- энергия электромагнитного поля, сосредоточенного в объеме V, a - мощность, расходуемая на изменение энергии в объеме V.

Уравнение (4) дает только качественное представление об энергетических соотношениях. Чтобы получить количественные соотношения, нужно воспользоваться уравнениями Максвелла. Рассмотрим первое уравнение Максвелла с учетом сторонних токов

(5)

Используя известную из векторного анализа формулу , преобразуем левую часть соотношения (6) и заменим его значением из второго уравнения Максвелла

Подставляя это выражение в (4), получаем с учетом

(6)

Интегрируя почленно уравнение (6) по объему V, получаем

(7)

Введем обозначение

-вектор Пойнтинга (8)

и преобразуем подынтегральное выражение в последнем слагаемом в правой части (7):

(9)

Подставляя (8) и (9) в (5) и меняя порядок интегрирования и дифференцирования, получаем уравнение баланса мгновенных значений мощности электромагнитного поля , называемое теоремой Пойнтинга:

(10)

Выясним физический смысл выражений, входящих в уравнение (10).

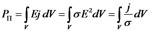
Следовательно, рассматриваемое 1-е слагаемое представляет собой мощность джоулевых потерь в объеме . Используя соотношение , для можно получить и другие представления:

(11)

Формулы (11) можно рассматривать как обобщенный закон Джоуля - Ленца, справедливый для проводящего объема V произвольной формы.

Интеграл в левой части (10) отличается от первого слагаемого в правой части только тем, что в подынтегральное выражение вместо входит . Поэтому он должен определять мощность сторонних источников. Таким образом, мгновенное значение мощности, отдаваемой сторонними токами электромагнитному полю в объеме V, определяется выражением

(12)

Для уяснения физического смысла последнего слагаемого в правой части уравнения (10) рассмотрим частный случай. Предположим, что объем V окружен идеально проводящей оболочкой, совпадающей с поверхностью S. Тогда касательная составляющая Е=0. В результате получим

(13)

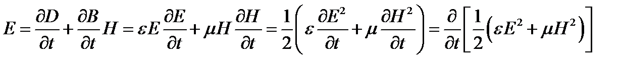
Очевидно, что в рассматриваемом случае мощность сторонних источников может расходоваться только на изменение энергии электромагнитного поля. Таким образом, правая часть равенства (13) представляет собой скорость изменения энергии электромагнитного поля, запасенной в объеме V, т.е. соответствует слагаемому в уравнении (10). Естественно предположить, что интеграл в правой части (13) равен энергии электромагнитного поля, сосредоточенного в объеме V:

(14)

, где

(15)

(16)

Предположим, что электрическое и магнитное поля являются постоянными (не зависят от времени). В этом случае, как известно из курса физики , выражение (16) определяет энергию соответственно электрического и магнитного полей в объеме V. Но это означает, что и указанные выражения определяют мгновенные значения энергии электрического и магнитного полей в объеме V при любой зависимости от времени, а их сумма, определяемая формулой (14), действительно равна мгновенному значению энергии электромагнитного поля в объеме V.

Осталось выяснить физическую сущность поверхностного интеграла в уравнении (10). Предположим, что в объеме V отсутствуют потери и, кроме того, величина электромагнитной энергии остается постоянной (W= const). При этом уравнение (10) принимает вид

(17)

В то же время из физических представлений очевидно, что в данном частном случае вся мощность сторонних источников должна уходить в окружающее пространство ( ). Следовательно, правая часть уравнения (17) равна потоку энергии через поверхность S (пределу отношения количества энергии, проходящей через S за время при ), т.е.

(18)

Естественно предположить, что вектор П представляет собой плотность потока энергии (предел отношения потока энергии через площадку , расположенную перпендикулярно направлению распространения энергии, к при ). Это есть вектор «вектор Умова-Пойнтинга.

Энергия может поступать в объем V не только от сторонних источников. Например, поток энергии через поверхность S может быть направлен из окружающего пространства в объем V. При этом мощность будет отрицательной, так как положительным считается поток энергии, выходящий из объема V в окружающее пространство.

Сторонние источники могут не только отдавать энергию, но и получать ее от электромагнитного поля. При этом мощность сторонних источников будет отрицательной. Действительно, электромагнитное поле отдает энергию току проводимости, если оно ускоряет движение заряженных частиц, образующих ток. Для этого вектор напряженности электрического поля должен иметь составляющую, ориентированную вдоль линий тока, т.е. чтобы скалярное произведение векторов и было больше нуля.

Рассмотрим более подробно формулы, определяющие энергию электромагнитного поля. Подынтегральные выражения в и можно интерпретировать как мгновенные значения объемных плотностей энергии электрического и магнитного полей соответственно, а их сумму - как объемную плотность полной энергии электромагнитного поля.

Принцип суперпозиции, которому удовлетворяют векторы напряженностей электрического и магнитного полей, не распространяется на энергию.

 

3. Скорость распространения электромагнитной энергии

Из теоремы Пойнтинга (10) следует возможность распространения в пространстве энергии электромагнитного поля. Вычислим скорость, с которой происходит это распространение. Выделим в рассматриваемой части пространства так называемую энергетическую трубку, т.е. трубку на боковой поверхности которой перпендикулярная к ней составляющая вектора Пойнтинга ( )тождественно равна нулю (рис.7). При этом условии средний за период поток энергии через поперечное сечение трубки при отсутствии джоулевых потерь не изменяется вдоль трубки.

Энергия электромагнитного поля , прошедшая за время через поперечное сечение трубки , будет распределена с плотностью в объеме , ограниченном боковой поверхностью трубки и поперечными сечениями и , находящимися на расстоянии друг от друга (рис. 7). Эта энергия может быть вычислена по формуле

(19)

где - некоторое поперечное сечение трубки, расположенное между сечениями и .

Будем называть скоростью распространения энергии предел отношения к при .

При достаточно малых значениях можно считать, что в пределах At вектор Пойнтинга не изменяется. Поэтому наряду с (19) должно выполняться соотношение

(20)

где , a - единичный вектор, перпендикулярный к и направленный в сторону . Приравнивая правые части выражений (19) и (20) и переходя к пределу при , находим

(21)

При выводе формулы (21) учтено, что в пределе при сечение совпадает с . Если Е и Н, а следовательно, П и не изменяются вдоль сечения , формула (21) упрощается. Так как в этом случае направление вектора Пойнтинга совпадает с направлением распространения энергии, то

(22)

Рис 7
В случае монохроматического поля среднее за период значение скорости распространения энергии определяется формулой

(23)

Если значения вектора П и функции одинаковы во всех точках сечения , выражение (23) может быть записано в виде

(24)

 

 



<== предыдущая лекция | следующая лекция ==>
 | 


Карта сайта Карта сайта укр


Уроки php mysql Программирование

Онлайн система счисления Калькулятор онлайн обычный Инженерный калькулятор онлайн Замена русских букв на английские для вебмастеров Замена русских букв на английские

Аппаратное и программное обеспечение Графика и компьютерная сфера Интегрированная геоинформационная система Интернет Компьютер Комплектующие компьютера Лекции Методы и средства измерений неэлектрических величин Обслуживание компьютерных и периферийных устройств Операционные системы Параллельное программирование Проектирование электронных средств Периферийные устройства Полезные ресурсы для программистов Программы для программистов Статьи для программистов Cтруктура и организация данных


 


Не нашли то, что искали? Google вам в помощь!

 
 

© life-prog.ru При использовании материалов прямая ссылка на сайт обязательна.

Генерация страницы за: 0.05 сек.