русс | укр

Языки программирования

ПаскальСиАссемблерJavaMatlabPhpHtmlJavaScriptCSSC#DelphiТурбо Пролог

Компьютерные сетиСистемное программное обеспечениеИнформационные технологииПрограммирование

Все о программировании


Linux Unix Алгоритмические языки Аналоговые и гибридные вычислительные устройства Архитектура микроконтроллеров Введение в разработку распределенных информационных систем Введение в численные методы Дискретная математика Информационное обслуживание пользователей Информация и моделирование в управлении производством Компьютерная графика Математическое и компьютерное моделирование Моделирование Нейрокомпьютеры Проектирование программ диагностики компьютерных систем и сетей Проектирование системных программ Системы счисления Теория статистики Теория оптимизации Уроки AutoCAD 3D Уроки базы данных Access Уроки Orcad Цифровые автоматы Шпаргалки по компьютеру Шпаргалки по программированию Экспертные системы Элементы теории информации

Методы измерений вероятностных характеристик случайных процессов


Дата добавления: 2014-04-18; просмотров: 1415; Нарушение авторских прав


Вероятностные характеристики случайного процесса определяются либо усреднениемпо совокупности ансамбля реализаций хi(t):

, (5.36)

где g[xi(t)] – некоторое преобразование, лежащее в основе определения вероятностной характеристики,

либо усреднением по времени с использование k-й реализации:

. (5.37)

Как и другие измерения, измерение статистических характеристик производится с помощью специальных средств, реализующих алгоритм измерений, в том числе и меры, воспроизводящей известную величину.

Используют [15] три алгоритма измерений:

(5.38)

где Sd – оператор усреднения (если усреднение по совокупности d=N, если усреднение по времени, d=Т), r - оператор сравнения, – результат измерения (оценка) характеристики .

Как видно, алгоритмы (5.36) отличаются только позициями, занимаемыми в выражении соответствующими операторами. Операция сравнения с мерой может быть: первой в цепи преобразований, второй – после реализации оператора g; и последней, что и отражено в структурных схемах (рис. 5.15).

 

 

Рис. 5.15. Структура измерений вероятностных характеристик случайных

процессов: а - сравнение с образцовой мерой является первой операцией;

б - выполняется до усреднения; в - является заключительной операцией

 

Обозначения структурных элементов на схемах соответствуют обозначениям тех операторов, которые ими реализуются. В качестве устройства усреднения Sd может быть использован сумматор или интегратор.

На рис. 5.15, а показана реализация следующей процедуры: на первом этапе с помощью блока r формируется массив числовых эквивалентов мгновенных значений реализаций случайного процесса, после чего преобразование g и усреднение Sd проходят в цифровой форме. Эти процессы могут быть реализованы последовательным соединением аналого-цифрового преобразователя и вычислительного устройства (например, микропроцессорного). На выходе АЦП формируется массив мгновенных значений, а процессор по определенной программе обеспечивает реализацию операторов g и Sd.



Процедура, осуществляемая структурой б (см.рис.5.15), начинается с преобразования совокупности реализаций {xi(t)} в совокупность преобразованных реализаций {g[xi(t)]}; затем с помощью компаратора r выполняется сравнение с известной величиной g0. На выходе компаратора формируется числовой массив {g*[xi(ti)]}, который поступает в вычислительное устройство, осуществляющее операцию усреднения Sd и выдающее результатв цифровой форме.

Структура, показанная на схеме в (см.рис. 5.15) реализует процедуру измерений, которая на первом этапе проходит так же, как в предыдущем случае, но затем совокупность {g[xi(t)]} поступает на усреднение Sd, после которого величина Sd[{g[xi(t)]}] поступает на компаратор r, осуществляющий сравнение с известной величиной q0 . На выходе компаратора имеем .

Рассмотрим алгоритмы измерений основных статистических характеристик [15].

Измерение математического ожидания. Чаще всего производится усреднением по времени.

Алгоритм измерения:

. (5.39)

Структурная схема реализации данного алгоритма (рис. 5.16) в простейшем случае включает набор последовательно соединенных масштабного преобразователя МП, интегратора И, аналогового измерителя АИ.

 
 

Рис. 5.16. Структура измерений математического ожидания

 

Основным преобразователем в измерительной цепи является интегратор И, осуществляющий усреднение по времени. Возможны варианты схемы с выходом интегратора на цифровой измерительный прибор, самопишущий прибор и т.д.

Дисперсия случайного процесса характеризует математическое ожидание квадрата отклонения мгновенных значений реализаций от математического ожидания.

Алгоритм измерений, реализуемый структурой, представленной на рис.5.17:

. (5.40)

Одномерная интегральная функция распределения F(х), определяемая как вероятность того, что в произвольный момент времени мгновенное значение реализации не превысит заданного уровня, т.е. xi(tj)£x, определяется как предел выборочного среднего

, (5.41)

где

 
 

Рис. 5.17. Структура измерений дисперсии случайного процесса:

ВУ – вычитатель; КУ - квадратирующее устройство

 

Практически выражение (5.41) представляется как алгоритм измерения оценки в виде

. (5.42)

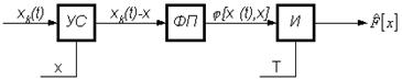
Обобщенная схема реализации алгоритма (5.42) показана на рис.5.18. Здесь: УС устройство сравнения, работающее в режиме вычитателя, формирующего сигнал xk(t)-x; ФП – функциональный преобразователь, реализующий функцию j[ xk(t),x], И – интегратор, Т- время наблюдения.

 
 

Рис. 5.18. Структурная схема измерения интегральной функции

распределения вероятности

 

Выражение для алгоритма измерения дифференциальной функции распределения вероятностей f(x) может быть получено, если учесть, что f(x) и F(x) связаны между собой известными соотношениями:

.

 

Тогда справедливо выражение

, (5.43)

где

При соблюдении условий стационарности и эргодичности интегральная функция распределения может характеризоваться относительным временем пребывания значений реализации ниже заданного уровня х:

, (5.44)

где i – интервал времени пребывания; n – число интервалов.

Соответственно выражение для дифференциальной функции можно представить в виде

, (5.45)

где – ширина «дифференциального коридора», т.е. расстояние между соседними уровнями хк и хк+1; Dtii -й интервал времени пребывания реализации между уровнями хк и хк+1.

На основании (5.44) и (5.45) алгоритмы измерений:

. (5.46)

Применяются и другие алгоритмы, например, основанные на методе дискретных выборок.

Измерение корреляционной функции с усреднением по времени производятся по алгоритму

. (5.47)

Структура измерительного устройства, реализующего данный алгоритм, представлена на рис. 5.19.

 
 

Рис. 5.19. Схема измерений корреляционной функции

 

С выхода масштабного преобразователя МП сигнал разветвляется, одновременно поступая на перемножающее устройство ПУ и на устройство временной задержки УЗ, с помощью которого получается сигнал xk(t-t). Этот сигнал также поступает на ПУ, осуществляющее перемножение мгновенных значений, сдвинутых на интервал t. Результирующий сигнал поступает на интегратор И, с помощью которого осуществляется операция усреднения. На выходе интегратора получаем оценку корреляционной функции .

Измерение спектра мощности сигнала производится в соответствии с формулой

, (5.48)

где xiT(w) - спектральная плотность сигнала на интервале усреднения Т, определяется согласно преобразованию Фурье по формуле

. (5.49)

В соответствии с (5.48) алгоритм измерения

. (5.50)

Схема реализации данного алгоритма показана на рис. 5.20.

 
 

Рис. 5.20. Схема измерения спектра мощности

 

Нормированный сигнал i -й реализации с масштабного преобразователя МП поступает на функциональный преобразователь ФП, выполняющий преобразование Фурье. Затем с помощью квадратирующего преобразователя КВ производится возведение в квадрат и нормирование с учетом интервала усреднения Т.



<== предыдущая лекция | следующая лекция ==>
Методы измерений с предварительным преобразованием измеряемой величины | Вопросы для самопроверки


Карта сайта Карта сайта укр


Уроки php mysql Программирование

Онлайн система счисления Калькулятор онлайн обычный Инженерный калькулятор онлайн Замена русских букв на английские для вебмастеров Замена русских букв на английские

Аппаратное и программное обеспечение Графика и компьютерная сфера Интегрированная геоинформационная система Интернет Компьютер Комплектующие компьютера Лекции Методы и средства измерений неэлектрических величин Обслуживание компьютерных и периферийных устройств Операционные системы Параллельное программирование Проектирование электронных средств Периферийные устройства Полезные ресурсы для программистов Программы для программистов Статьи для программистов Cтруктура и организация данных


 


Не нашли то, что искали? Google вам в помощь!

 
 

© life-prog.ru При использовании материалов прямая ссылка на сайт обязательна.

Генерация страницы за: 0.443 сек.