1. Мета роботи.
2. Короткий опис методів зображення алгоритмів обчислювальних
процесів та їх програмування на алгоритмічній мові ПАСКАЛЬ.
3. Блок-схема алгоритму для обчислення по індивідуальному завданню.
4. Текст програми.
5. Результати обчислень по програмі.
6. Аналіз результатів, висновки.
ДОДАТОК
Варіанти завдання
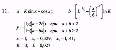
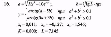
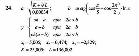
Скласти програму знаходження змінної Y для різних значень аргументу X, використовуючи оператори CASE і IF. Вивести на друк значення аргументу, функції і проміжних змінних. Передбачити у програмі обхід арифметичних операцій, які можуть при певних значеннях аргументу X мати невизначений результат тобто ділення на нуль, добування кореня парного степеню з від'ємного числа, логарифма від'ємного числа і т.д.. логарифма від'ємного числа і т.д.































